Lesson Planet
Search educational resources
  • Sign In Try It Free
  • AI Teacher Tools
    • Discover Resources Search reviewed educational resources by keyword, subject, grade, type, and more
    • Curriculum Manager (My Content) Manage saved and uploaded resources and folders To Access the Curriculum Manager Sign In or Join Now
    • Browse Resource Directory Browse educational resources by subject and topic
    • Curriculum Calendar Explore curriculum resources by date
    • Lesson Planning Articles Timely and inspiring teaching ideas that you can apply in your classroom
    • Our Story
    • Frequently Asked Questions
    • Testimonials
    • Contact Us
  • Pricing
  • School Access
    • Your school or district can sign up for Lesson Planet — with no cost to teachers
      Learn More
  • Sign In
  • Try It Free
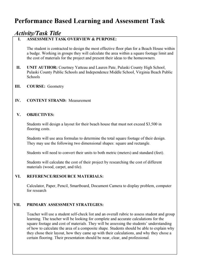
Beach House PerformanceBeach House Performance
Publisher
Radford University
Resource Details
Curator Rating
Educator Rating
Not yet Rated
Grade
6th
Subjects
Math
2 more...
Resource Type
Performance Tasks
Audience
For Teacher Use
Duration
3 hrs
Instructional Strategies
Collaborative Learning
3 more...
Technology
Calculator
Presentation
Internet Access
Usage Permissions
Fine Print: Educational Use
Performance

Beach House

Curated and Reviewed by Lesson Planet
This Beach House performance also includes:
  • Activity
  • Worksheet
  • Assessment
  • Rubric
  • Answer Key
  • Join to access all included materials

What's the best way to make a beach house affordable? Given constraints on the number of rooms and the cost of flooring, learners design dream beach houses. They draw floor plans and calculate the areas using different units.

7 Views 5 Downloads
CCSS: Adaptable

Concepts

budgeting, floor plans, area, cost analysis, unit conversions

Additional Tags

math

Instructional Ideas

  • Invite an architect to give a presentation about designing a house

Classroom Considerations

  • Scholars should be familiar with area formulas for various shapes
  • Knowledge of unit conversions is necessary

Pros

  • Provides a self-check rubric as well as a group rubric
  • Includes student worksheets and handouts to cement understanding

Cons

  • None

Common Core

HSG-MG.A.3

View 20,251 other resources for 6th Grade Math

© 1999-2026 Learning Explorer, Inc.
Teacher Lesson Plans, Worksheets and Resources

Sign up for the Lesson Planet Monthly Newsletter

Open Educational Resources (OER)

  • Health
  • Language Arts
  • Languages
  • Math
  • Physical Education
  • Science
  • Social Studies
  • Special Education
  • Visual and Performing Arts
View All Lesson Plans

Discover Resources

  • Our Review Process
  • How it Works
  • How to Search
  • Create a Collection

Manage Curriculum

  • Edit a Collection
  • Assign to Students
  • Manage My Content
Contact Us Site Map Privacy Policy Terms of Use