Lesson Planet
Search educational resources
  • Sign In Try It Free
  • AI Teacher Tools
    • Discover Resources Search reviewed educational resources by keyword, subject, grade, type, and more
    • Curriculum Manager (My Content) Manage saved and uploaded resources and folders To Access the Curriculum Manager Sign In or Join Now
    • Browse Resource Directory Browse educational resources by subject and topic
    • Curriculum Calendar Explore curriculum resources by date
    • Lesson Planning Articles Timely and inspiring teaching ideas that you can apply in your classroom
    • Our Story
    • Frequently Asked Questions
    • Testimonials
    • Contact Us
  • Pricing
  • School Access
    • Your school or district can sign up for Lesson Planet — with no cost to teachers
      Learn More
  • Sign In
  • Try It Free
Factoring Perfect Squares WorksheetFactoring Perfect Squares Worksheet
Publisher
Curated OER
Curator Rating
Educator Rating
Not yet Rated
Worksheet

Factoring Perfect Squares

Curated and Reviewed by Lesson Planet

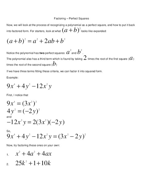
In this factoring activity, students factor perfect squares. Explanations and examples are provided at the beginning of the activity. This two-page activity contains ten problems.

3 Views 85 Downloads
Concepts

factors, factoring, perfect squares, polynomials

Additional Tags

factor, perfect squares, polynomial, math
Show More Show Less

Resource Details

Grade
9th - 10th
Subjects
Math
1 more...
Resource Types
Worksheets
1 more...
Audiences
For Teacher Use
1 more...
Usage Permissions
Fine Print

View 38,632 other resources for 9th - 10th Grade Math

© 1999-2026 Learning Explorer, Inc.
Teacher Lesson Plans, Worksheets and Resources

Sign up for the Lesson Planet Monthly Newsletter

Open Educational Resources (OER)

  • Health
  • Language Arts
  • Languages
  • Math
  • Physical Education
  • Science
  • Social Studies
  • Special Education
  • Visual and Performing Arts
View All Lesson Plans

Discover Resources

  • Our Review Process
  • How it Works
  • How to Search
  • Create a Collection

Manage Curriculum

  • Edit a Collection
  • Assign to Students
  • Manage My Content
Contact Us Site Map Privacy Policy Terms of Use