Lesson Planet
Search educational resources
  • Sign In Try It Free
  • AI Teacher Tools
    • Discover Resources Search reviewed educational resources by keyword, subject, grade, type, and more
    • Curriculum Manager (My Content) Manage saved and uploaded resources and folders To Access the Curriculum Manager Sign In or Join Now
    • Browse Resource Directory Browse educational resources by subject and topic
    • Curriculum Calendar Explore curriculum resources by date
    • Lesson Planning Articles Timely and inspiring teaching ideas that you can apply in your classroom
    • Our Story
    • Frequently Asked Questions
    • Testimonials
    • Contact Us
  • Pricing
  • School Access
    • Your school or district can sign up for Lesson Planet — with no cost to teachers
      Learn More
  • Sign In
  • Try It Free
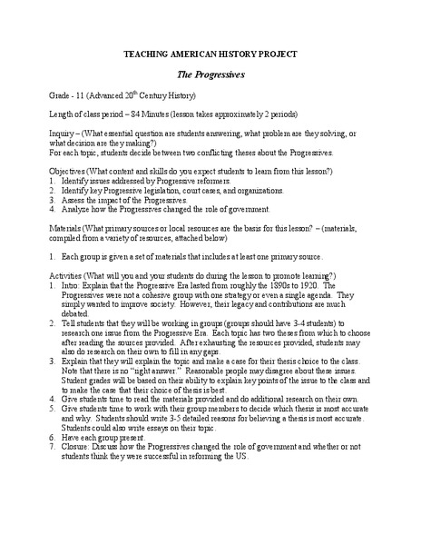
The Progressives Lesson PlanThe Progressives Lesson Plan
Publisher
Curated OER
Curator Rating
Educator Rating
Not yet Rated
Lesson Plan

The Progressives

Curated and Reviewed by Lesson Planet
This The Progressives lesson plan also includes:
  • Project
  • Join to access all included materials

Eleventh graders explore American government reform. In this Progressive Era lesson, 11th graders read about the Era in their textbooks and in the provided handouts. Students then create group presentations and write essays on the role of Progressives in changing American government.

110 Views 209 Downloads
Concepts

progressivism, the progressive era

Additional Tags

progressive era, progressivism, the progressives, social studies
Show More Show Less

Resource Details

Grade
11th
Subjects
Social Studies & History
3 more...
Resource Type
Lesson Plans
Audience
For Teacher Use
Duration
2 days
Instructional Strategy
Research
Usage Permissions
Fine Print

View 20,415 other resources for 11th Grade Social Studies & History

© 1999-2026 Learning Explorer, Inc.
Teacher Lesson Plans, Worksheets and Resources

Sign up for the Lesson Planet Monthly Newsletter

Open Educational Resources (OER)

  • Health
  • Language Arts
  • Languages
  • Math
  • Physical Education
  • Science
  • Social Studies
  • Special Education
  • Visual and Performing Arts
View All Lesson Plans

Discover Resources

  • Our Review Process
  • How it Works
  • How to Search
  • Create a Collection

Manage Curriculum

  • Edit a Collection
  • Assign to Students
  • Manage My Content
Contact Us Site Map Privacy Policy Terms of Use