Lesson Planet
Search educational resources
  • Sign In Try It Free
  • AI Teacher Tools
    • Discover Resources Search reviewed educational resources by keyword, subject, grade, type, and more
    • Curriculum Manager (My Content) Manage saved and uploaded resources and folders To Access the Curriculum Manager Sign In or Join Now
    • Browse Resource Directory Browse educational resources by subject and topic
    • Curriculum Calendar Explore curriculum resources by date
    • Lesson Planning Articles Timely and inspiring teaching ideas that you can apply in your classroom
    • Our Story
    • Frequently Asked Questions
    • Testimonials
    • Contact Us
  • Pricing
  • School Access
    • Your school or district can sign up for Lesson Planet — with no cost to teachers
      Learn More
  • Sign In
  • Try It Free
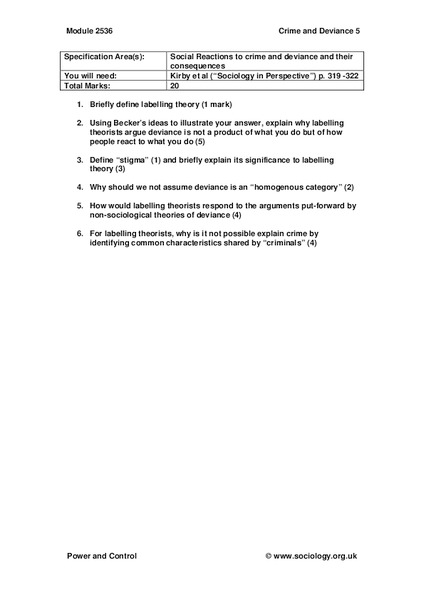
Social Reactions to Crime and Deviance WorksheetSocial Reactions to Crime and Deviance Worksheet
Publisher
Curated OER
Resource Details
Curator Rating
Educator Rating
Not yet Rated
Grade
Higher Ed
Subjects
Social Studies & History
1 more...
Resource Types
Worksheets
1 more...
Audiences
For Teacher Use
1 more...
Worksheet

Social Reactions to Crime and Deviance

Curated and Reviewed by Lesson Planet

In this Reactions to Crime and Deviance worksheet, students answer six questions about this topic. Suggested point values for each question are given.

34 Views 42 Downloads

Additional Tags

labelling theorists, labelling theory, stigma, social studies

Classroom Considerations

  • This resource is only available on an unencrypted HTTP website.It should be fine for general use, but don’t use it to share any personally identifiable information

View 1,703 other resources for Higher Ed Grade Social Studies & History

© 1999-2026 Learning Explorer, Inc.
Teacher Lesson Plans, Worksheets and Resources

Sign up for the Lesson Planet Monthly Newsletter

Open Educational Resources (OER)

  • Health
  • Language Arts
  • Languages
  • Math
  • Physical Education
  • Science
  • Social Studies
  • Special Education
  • Visual and Performing Arts
View All Lesson Plans

Discover Resources

  • Our Review Process
  • How it Works
  • How to Search
  • Create a Collection

Manage Curriculum

  • Edit a Collection
  • Assign to Students
  • Manage My Content
Contact Us Site Map Privacy Policy Terms of Use