Lesson Planet
Search educational resources
  • Sign In Try It Free
  • AI Teacher Tools
    • Discover Resources Search reviewed educational resources by keyword, subject, grade, type, and more
    • Curriculum Manager (My Content) Manage saved and uploaded resources and folders To Access the Curriculum Manager Sign In or Join Now
    • Browse Resource Directory Browse educational resources by subject and topic
    • Curriculum Calendar Explore curriculum resources by date
    • Lesson Planning Articles Timely and inspiring teaching ideas that you can apply in your classroom
    • Our Story
    • Frequently Asked Questions
    • Testimonials
    • Contact Us
  • Pricing
  • School Access
    • Your school or district can sign up for Lesson Planet — with no cost to teachers
      Learn More
  • Sign In
  • Try It Free
Simplifying Radical Expressions WorksheetSimplifying Radical Expressions Worksheet
Publisher
Curated OER
Curator Rating
Educator Rating
Not yet Rated
Worksheet

Simplifying Radical Expressions

Curated and Reviewed by Lesson Planet

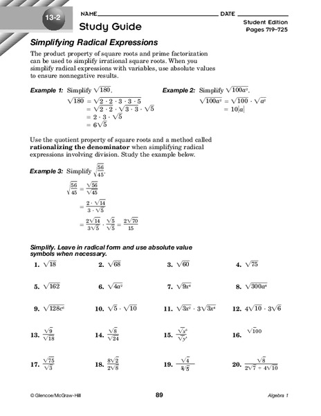
In this radical expressions worksheet, 9th graders solve and complete 20 different problems that include simplifying various radical expressions. First, they define rationalizing the denominator. Then, students simplify and leave each in radical form, using absolute value symbols when necessary.

14 Views 11 Downloads
Concepts

denominators, fractions, quotient property, radical expressions, square roots, radicals

Additional Tags

denominator, quotient property, radical expressions, square roots, math
Show More Show Less

Resource Details

Grade
9th
Subjects
Math
2 more...
Resource Types
Worksheets
1 more...
Audiences
For Teacher Use
1 more...

View 35,726 other resources for 9th Grade Math

© 1999-2026 Learning Explorer, Inc.
Teacher Lesson Plans, Worksheets and Resources

Sign up for the Lesson Planet Monthly Newsletter

Open Educational Resources (OER)

  • Health
  • Language Arts
  • Languages
  • Math
  • Physical Education
  • Science
  • Social Studies
  • Special Education
  • Visual and Performing Arts
View All Lesson Plans

Discover Resources

  • Our Review Process
  • How it Works
  • How to Search
  • Create a Collection

Manage Curriculum

  • Edit a Collection
  • Assign to Students
  • Manage My Content
Contact Us Site Map Privacy Policy Terms of Use