Lesson Plan

Simplify Expressions

Curated and Reviewed by Lesson Planet
This Simplify Expressions lesson plan also includes:

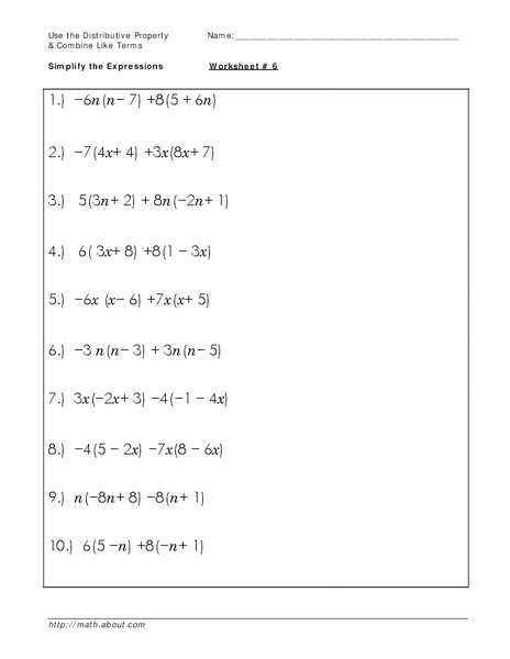
In this simplifying expressions worksheet, students simplify a set of 10 expressions. A reference web site is given for additional activities, answers including on page 2.

10 Views 47 Downloads
Resource Details
Grade
5th - 6th
Subjects
Math
3 more...
Resource Types
Lesson Plans
3 more...
Usage Permissions
Fine Print