Lesson Planet
Search educational resources
  • Sign In Try It Free
  • AI Teacher Tools
    • Discover Resources Search reviewed educational resources by keyword, subject, grade, type, and more
    • Curriculum Manager (My Content) Manage saved and uploaded resources and folders To Access the Curriculum Manager Sign In or Join Now
    • Browse Resource Directory Browse educational resources by subject and topic
    • Curriculum Calendar Explore curriculum resources by date
    • Lesson Planning Articles Timely and inspiring teaching ideas that you can apply in your classroom
    • Our Story
    • Frequently Asked Questions
    • Testimonials
    • Contact Us
  • Pricing
  • School Access
    • Your school or district can sign up for Lesson Planet — with no cost to teachers
      Learn More
  • Sign In
  • Try It Free
Poetry Unit Lesson PlanPoetry Unit Lesson Plan
Publisher
Curated OER
Curator Rating
Educator Rating
Not yet Rated
Lesson Plan

Poetry Unit

Curated and Reviewed by Lesson Planet
This Poetry Unit lesson plan also includes:
  • Project
  • Join to access all included materials

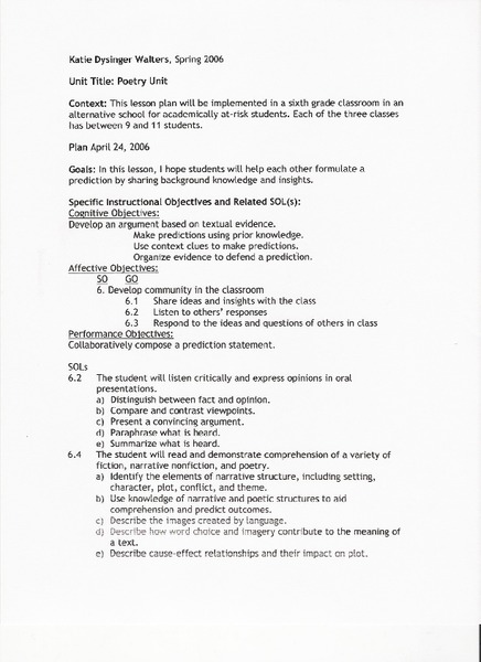
Students discuss phrases and words from a poem.  In this understanding poetry lesson, students are given a word or phrase from a poem on an index card.  Students circulate around the room discussing their phrases and words with their classmates before writing a prediction of what the poem will be about.

3 Views 40 Downloads

Additional Tags

english language arts
Show More Show Less

Resource Details

Grade
5th - 7th
Subjects
English Language Arts
2 more...
Resource Type
Lesson Plans
Audience
For Teacher Use
Year
2006

View 44,729 other resources for 5th - 7th Grade English Language Arts

© 1999-2026 Learning Explorer, Inc.
Teacher Lesson Plans, Worksheets and Resources

Sign up for the Lesson Planet Monthly Newsletter

Open Educational Resources (OER)

  • Health
  • Language Arts
  • Languages
  • Math
  • Physical Education
  • Science
  • Social Studies
  • Special Education
  • Visual and Performing Arts
View All Lesson Plans

Discover Resources

  • Our Review Process
  • How it Works
  • How to Search
  • Create a Collection

Manage Curriculum

  • Edit a Collection
  • Assign to Students
  • Manage My Content
Contact Us Site Map Privacy Policy Terms of Use