Lesson Planet
Search educational resources
  • Sign In Try It Free
  • AI Teacher Tools
    • Discover Resources Search reviewed educational resources by keyword, subject, grade, type, and more
    • Curriculum Manager (My Content) Manage saved and uploaded resources and folders To Access the Curriculum Manager Sign In or Join Now
    • Browse Resource Directory Browse educational resources by subject and topic
    • Curriculum Calendar Explore curriculum resources by date
    • Lesson Planning Articles Timely and inspiring teaching ideas that you can apply in your classroom
    • Our Story
    • Frequently Asked Questions
    • Testimonials
    • Contact Us
  • Pricing
  • School Access
    • Your school or district can sign up for Lesson Planet — with no cost to teachers
      Learn More
  • Sign In
  • Try It Free
Monetary Policy WorksheetMonetary Policy Worksheet
Publisher
Curated OER
Curator Rating
Educator Rating
Not yet Rated
Worksheet

Monetary Policy

Curated and Reviewed by Lesson Planet

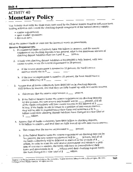
In this Monetary Policy worksheet, high schoolers solve problems with varying reserve requirements and interest rates, then complete balance sheets for the Federal Reserve Banks.

12 Views 26 Downloads

Additional Tags

discount rates, federal reserve board, open market operations, reserve requirements, social studies
Show More Show Less

Resource Details

Grade
9th - 12th
Subjects
Social Studies & History
1 more...
Resource Types
Worksheets
2 more...
Audiences
For Teacher Use
1 more...

View 75,813 other resources for 9th - 12th Grade Social Studies & History

© 1999-2026 Learning Explorer, Inc.
Teacher Lesson Plans, Worksheets and Resources

Sign up for the Lesson Planet Monthly Newsletter

Open Educational Resources (OER)

  • Health
  • Language Arts
  • Languages
  • Math
  • Physical Education
  • Science
  • Social Studies
  • Special Education
  • Visual and Performing Arts
View All Lesson Plans

Discover Resources

  • Our Review Process
  • How it Works
  • How to Search
  • Create a Collection

Manage Curriculum

  • Edit a Collection
  • Assign to Students
  • Manage My Content
Contact Us Site Map Privacy Policy Terms of Use