Lesson Planet
Search educational resources
  • Sign In Try It Free
  • AI Teacher Tools
    • Discover Resources Search reviewed educational resources by keyword, subject, grade, type, and more
    • Curriculum Manager (My Content) Manage saved and uploaded resources and folders To Access the Curriculum Manager Sign In or Join Now
    • Browse Resource Directory Browse educational resources by subject and topic
    • Curriculum Calendar Explore curriculum resources by date
    • Lesson Planning Articles Timely and inspiring teaching ideas that you can apply in your classroom
    • Our Story
    • Frequently Asked Questions
    • Testimonials
    • Contact Us
  • Pricing
  • School Access
    • Your school or district can sign up for Lesson Planet — with no cost to teachers
      Learn More
  • Sign In
  • Try It Free
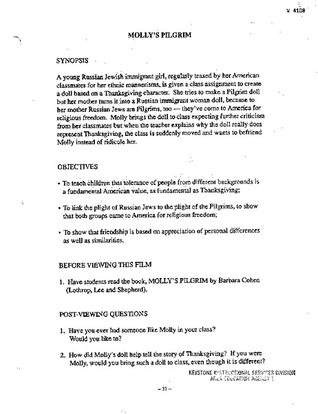
Molly's Pilgrim Lesson PlanMolly's Pilgrim Lesson Plan
Publisher
Curated OER
Curator Rating
Educator Rating
Not yet Rated
Lesson Plan

Molly's Pilgrim

Curated and Reviewed by Lesson Planet

In this Molly's Pilgrim worksheet, students view a DVD titled Molly's Pilgrim and then answer short answer questions. Students answer 6 questions total.

 

25 Views 22 Downloads
Concepts

molly's pilgrim

Additional Tags

molly's pilgrim, social studies
Show More Show Less

Resource Details

Grade
2nd - 5th
Subjects
Social Studies & History
2 more...
Resource Types
Lesson Plans
2 more...
Audience
For Teacher Use

View 25,229 other resources for 2nd - 5th Grade Social Studies & History

© 1999-2026 Learning Explorer, Inc.
Teacher Lesson Plans, Worksheets and Resources

Sign up for the Lesson Planet Monthly Newsletter

Open Educational Resources (OER)

  • Health
  • Language Arts
  • Languages
  • Math
  • Physical Education
  • Science
  • Social Studies
  • Special Education
  • Visual and Performing Arts
View All Lesson Plans

Discover Resources

  • Our Review Process
  • How it Works
  • How to Search
  • Create a Collection

Manage Curriculum

  • Edit a Collection
  • Assign to Students
  • Manage My Content
Contact Us Site Map Privacy Policy Terms of Use