Lesson Planet
Search educational resources
  • Sign In Try It Free
  • AI Teacher Tools
    • Discover Resources Search reviewed educational resources by keyword, subject, grade, type, and more
    • Curriculum Manager (My Content) Manage saved and uploaded resources and folders To Access the Curriculum Manager Sign In or Join Now
    • Browse Resource Directory Browse educational resources by subject and topic
    • Curriculum Calendar Explore curriculum resources by date
    • Lesson Planning Articles Timely and inspiring teaching ideas that you can apply in your classroom
    • Our Story
    • Frequently Asked Questions
    • Testimonials
    • Contact Us
  • Pricing
  • School Access
    • Your school or district can sign up for Lesson Planet — with no cost to teachers
      Learn More
  • Sign In
  • Try It Free
Inverse Variation Instructional VideoInverse Variation Instructional Video
Publisher
Krista King Math
Resource Details
Curator Rating
Educator Rating
Not yet Rated
Grade
9th - 12th
Subjects
Math
2 more...
Resource Type
Instructional Videos
Media Length
4:44
Audiences
For Teacher Use
1 more...
Instructional Strategy
Direct Instruction
Technology
Presentation
Internet Access
Year
2014
Instructional Video

Inverse Variation

Curated and Reviewed by Lesson Planet

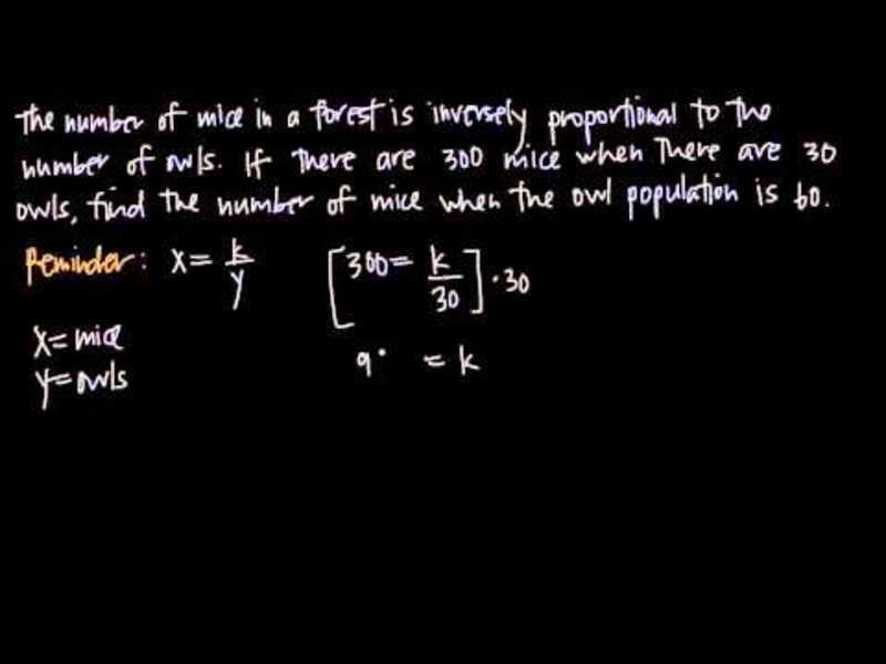
Apply rational functions to a problem-solving situation through inverse variation. The video tutorial explains the concept of inverse variation and introduces learners to the formula. The instructor explains how to solve problems that have an inverse relationship.

3 Views 0 Downloads
CCSS: Adaptable

Concepts

inverse variation, direct variation, rational equations

Additional Tags

math

Instructional Ideas

  • Use as a follow-up to the lesson on direct variation; compare and contrast the two situations
  • Connect to science by applying inverse variation to gas law problems

Classroom Considerations

  • Expects a familiarity with formulas and input-output tables
  • This video is hosted on YouTube

Pros

  • Uses a contextual situation to reinforce the concept
  • Utilizes both an equation and graph to represent the solution to the problem

Cons

  • None

Common Core

HSF-IF.C.7.a

View 41,189 other resources for 9th - 12th Grade Math

© 1999-2026 Learning Explorer, Inc.
Teacher Lesson Plans, Worksheets and Resources

Sign up for the Lesson Planet Monthly Newsletter

Open Educational Resources (OER)

  • Health
  • Language Arts
  • Languages
  • Math
  • Physical Education
  • Science
  • Social Studies
  • Special Education
  • Visual and Performing Arts
View All Lesson Plans

Discover Resources

  • Our Review Process
  • How it Works
  • How to Search
  • Create a Collection

Manage Curriculum

  • Edit a Collection
  • Assign to Students
  • Manage My Content
Contact Us Site Map Privacy Policy Terms of Use