Lesson Planet
Search educational resources
  • Sign In Try It Free
  • AI Teacher Tools
    • Discover Resources Search reviewed educational resources by keyword, subject, grade, type, and more
    • Curriculum Manager (My Content) Manage saved and uploaded resources and folders To Access the Curriculum Manager Sign In or Join Now
    • Browse Resource Directory Browse educational resources by subject and topic
    • Curriculum Calendar Explore curriculum resources by date
    • Lesson Planning Articles Timely and inspiring teaching ideas that you can apply in your classroom
    • Our Story
    • Frequently Asked Questions
    • Testimonials
    • Contact Us
  • Pricing
  • School Access
    • Your school or district can sign up for Lesson Planet — with no cost to teachers
      Learn More
  • Sign In
  • Try It Free
Deductive Reasoning WorksheetDeductive Reasoning Worksheet
Publisher
Curated OER
Curator Rating
Educator Rating
Not yet Rated
Worksheet

Deductive Reasoning

Curated and Reviewed by Lesson Planet

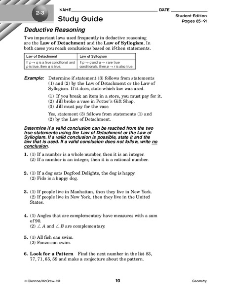
In this deductive reasoning instructional activity, 10th graders solve 6 various problems applying deductive reasoning to each. First, they determine if a valid conclusion can be reached from the 2 true statements using the Law of Detachment or the Law of Syllogism. Then, students look for a pattern by determining the next number and make a conjecture about the pattern found.

38 Views 74 Downloads
Concepts

deductive reasoning, conclusions, complementary angles, law of syllogism

Additional Tags

complementary, conclusion, deductive reasoning, if then statement, law of detachment, law of syllogism, math
Show More Show Less

Resource Details

Grade
10th
Subjects
Math
2 more...
Resource Types
Worksheets
1 more...
Audiences
For Teacher Use
1 more...

View 34,891 other resources for 10th Grade Math

© 1999-2026 Learning Explorer, Inc.
Teacher Lesson Plans, Worksheets and Resources

Sign up for the Lesson Planet Monthly Newsletter

Open Educational Resources (OER)

  • Health
  • Language Arts
  • Languages
  • Math
  • Physical Education
  • Science
  • Social Studies
  • Special Education
  • Visual and Performing Arts
View All Lesson Plans

Discover Resources

  • Our Review Process
  • How it Works
  • How to Search
  • Create a Collection

Manage Curriculum

  • Edit a Collection
  • Assign to Students
  • Manage My Content
Contact Us Site Map Privacy Policy Terms of Use