Instructional Video7:21
Curated Video

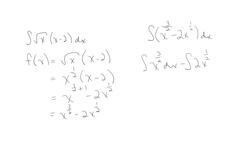
Rewriting Before Integrating

K - 8th
This video will illustrate how integrating a complicated function can be made simpler by rewriting the function before integrating.
Instructional Video7:41
Math Fortress

Calculus I: Derivatives of Polynomials and Natural Exponential Functions (Level 3 of 3)

12th - Higher Ed
This video will teach how to rewrite common functional expressions into a "derivative friendly" form. A good understanding of intermediate algebra is required to succeed in any calculus class.
Instructional Video7:29
Math Fortress

Calculus I: Derivatives of Polynomials and Natural Exponential Functions (Level 2 of 3)

12th - Higher Ed
This video will teach you the basics of calculating the derivative of simple polynomials and exponential functions using the constant multiple, sum and difference rule.