Instructional Video14:48
Curated Video

Complete Python Scripting for Automation - os.path module

Higher Ed
OS Module: os.path module This clip is from the chapter "OS Module" of the series "Complete Python Scripting for Automation".In this section, the author introduces OS Module and Basic operation like os.path module, os.system() function...
Instructional Video2:00
Brian McLogan

Learn how to determine the surface area of a triangular prism

12th - Higher Ed
👉 Learn how to find the volume and the surface area of a pyramid. A pyramid is a 3-dimensional object having a polygon as its base and triangular surfaces converging at a single point called its apex. A pyramid derives its name from the...
Instructional Video1:45
Brian McLogan

Learn how to multiply two numbers in scientific notation

12th - Higher Ed
👉 Learn how to multiply numbers written in scientific notations. Scientific notation is a convenient way of writing very large or very small numbers. A number written in scientific notation is of the form a * 10^n where a is the first...
Instructional Video17:34
KnowMo

Advanced Area and Volume

3rd - Higher Ed
Advanced Area and Volume
Instructional Video0:49
Next Animation Studio

Hidden missile bases in North Korea seen in satellite images

12th - Higher Ed
Satellite images have located 13 of an estimated 20 undeclared missile operating bases in North Korea.
Instructional Video14:44
Music Matters

Harmony Enriched with Suspensions - Inside the Mind of Bach

9th - 12th
Learn from the master of harmony and find out how Bach uses suspensions to enrich the chords within this chorale. We examine the choice of harmony and modulation, the part writing, the use of inessential notes and suspensions, plus other...
Instructional Video3:12
Brian McLogan

Dividing rational expressions

12th - Higher Ed
👉 Learn how to simplify expressions by dividing its terms. Remember that dividing a fraction is the same as multiplying by the reciprocal. When multiplying expressions, each individual term of the expression is multiplied to its like...
Instructional Video3:04
Brian McLogan

Find the area of a parallelogram using special right triangles

12th - Higher Ed
👉 Learn all about Area and Perimeter. In this playlist, we will explore how to determine the area and perimeter of 2-dimensional figures. We will also look into combinations of figures. The focus will be on rectangles, squares,...
Instructional Video1:59
Curated Video

Statue of Liberty: A French Peace Offering

9th - Higher Ed
A symbol of freedom and democracy, the Statue of Liberty has been welcoming immigrants and visitors to New York Harbour since 1875. But the story behind this gift from a European ally is filled with drama!
Instructional Video11:53
Curated Video

Python 3: Project-based Python, Algorithms, Data Structures - Bubble sort demonstration and complexity analysis

Higher Ed
An in-depth look at log(n) and what it represents This clip is from the chapter "Algorithms - Sort, performance, complexity and big O notation" of the series "Python 3: Project-based Python, Algorithms, Data Structures".This section is...
Instructional Video9:20
Let's Tute

Basic Proportionality Theorem - Thales Theorem

9th - Higher Ed
This video explains about Basic Proportionality Theorem with the help of an activity .
Instructional Video4:52
Curated Video

Understanding and Identifying Parts of Three-Dimensional Figures

K - 5th
In this video, the teacher explains the terms used to describe three-dimensional figures. They discuss the difference between one-dimensional, two-dimensional, and three-dimensional figures, and how to identify the faces, edges,...
Instructional Video4:51
Curated Video

GCSE Secondary Maths Age 13-17 - Geometry & Measures: Triangles and Quadrilaterals - Explained

9th - 12th
SchoolOnline's Secondary Maths videos are brilliant, bite-size tutorial videos delivered by examiners. Ideal for ages 13-17, they cover every key topic and sub topic covered in GCSE Maths in clear and easy to follow steps. This video...
Instructional Video2:13
Brian McLogan

What is the product property of logarithms

12th - Higher Ed
👉 Learn about solving logarithmic equations. Logarithmic equations are equations involving logarithms. To solve a logarithmic equation, we first use our knowledge of logarithm laws/properties to express the terms in both sides of the...
Instructional Video5:54
3D Print General

Lifesized 3D Printed Nefertiti - Scan the World

Higher Ed
Scan the World! In this video I print and paint a 19 inch tall, life-sized Nefertiti bust.
Instructional Video3:37
KnowMo

Laws of Indices: Basic and Advanced Rules

12th - Higher Ed
This video is a lesson on the laws of indices in mathematics. The speaker begins by explaining the basic special indices, such as anything to the power of 1 is the value itself, and anything to the power of 0 is 1. Next, the speaker...
Instructional Video6:16
Brian McLogan

Solving an exponential equation with negative exponents

12th - Higher Ed
👉 Learn how to solve exponential equations involving fractions. An exponential equation is an equation in which a variable occurs as an exponent. To solve an exponential equation, we make the base of both sides of the equation to be...
Instructional Video5:01
Brian McLogan

Expanding a natural logarithmic expression

12th - Higher Ed
👉 Learn how to expand logarithmic expressions involving radicals. A logarithmic expression is an expression having logarithms in it. To expand logarithmic expressions means to use the logarithm laws to expand (open up) logarithm...
Instructional Video3:33
Brian McLogan

Solving an exponential equation by using change of base for logarithms

12th - Higher Ed
👉 Learn how to solve exponential equations. An exponential equation is an equation in which a variable occurs as an exponent. To solve an exponential equation, we isolate the exponential part of the equation. Then we take the log of both...
Instructional Video3:08
Brian McLogan

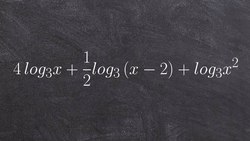
Properties of logarithms for condensing an expression

12th - Higher Ed
👉 Learn how to condense logarithmic expressions. A logarithmic expression is an expression having logarithms in it. To condense logarithmic expressions means to use the logarithm laws to reduce logarithm expressions from the expanded...
Instructional Video2:07
Brian McLogan

Learn how to use one to one property of logarithms to solve an equation

12th - Higher Ed
👉 Learn about solving logarithmic equations. Logarithmic equations are equations involving logarithms. To solve a logarithmic equation, we first use our knowledge of logarithm laws/properties to express the terms in both sides of the...
Instructional Video4:27
Science360

Researchers virtually unwrap a 1500-year-old scroll-NSF Science Now 36

12th - Higher Ed
In this week's episode we discover a protein that could someday eliminate malaria, lear about microbes battling it out in Antarctica, explore super Wi-Fi that uses UHF channels and virtually unwrap a 1500-year-old scroll.
Instructional Video13:57
Odd Quartet

Making The Loudest Metronome

9th - 12th
This video looks at how you can build a very loud meteronome
Instructional Video2:50
KnowMo

Volume and Calculating 3D Shapes

12th - Higher Ed
In this educational video, the instructor explains the concept of volume in 3D shapes. They start by defining volume and highlight how it differs from area. They then explain how to calculate the volume of prisms and pyramids using the...