Instructional Video4:56
Brian McLogan

Adding fractions - Math Tutoring Online - Math Skills

12th - Higher Ed
👉 Learn how to add and subtract fractions whose denominators are not the same. Recall that when we want to add or subtract fractions having the same denominator, we add the numerators and retain the (common) denominator. This is...
Instructional Video1:17
Sustainable Business Consulting

Beginning with the End in Mind

Higher Ed
When looking at incorporating sustainability into operations, start with the end in mind. Starting at the end and work back towards today, companies can find innovation, cost savings, and potential wastes that could become a revenue...
Instructional Video2:20
Brian McLogan

What do you need to know to solve one step equations

12th - Higher Ed
👉 Learn all about the processes and definitions for solving linear equations. You will gain a better understanding about the vocabulary and steps used to solve liner equations such as how to isolate an equation and apply inverse...
Instructional Video3:16
Curated Video

Introduction to Exponents

K - 5th
In this video, students learn how to use exponents to write numerical expressions. The teacher explains that exponents are used to indicate the number of times a base number is repeated as a factor in multiplication. The video emphasizes...
Instructional Video3:23
Brian McLogan

Solving a proportion using distributive property

12th - Higher Ed
👉 Learn how to solve proportions. Two ratios are said to be proportional when the two ratios are equal. Thus, proportion problems are problems involving the equality of two ratios. When given a proportion problem with an unknown, we...
Instructional Video1:20
Brian McLogan

Solve a literal equation to rewrite in slope intercept form 4x= 3y-7 for y

12th - Higher Ed
👉 Learn how to solve literal equations. A literal equation is an equation where the unknown values are represented by variables. To solve a literal equation means to make one of the variables the subject of the formula. To do this, we...
Instructional Video4:49
Curated Video

Using Addition and Division to Solve Real World Problems with Rational Numbers

K - 5th
In this video, the teacher demonstrates how to use addition and division to solve real-world problems involving rational numbers. They explain concepts like equivalent fractions and order of operations, and provide examples of applying...
Instructional Video2:57
Brian McLogan

How can we label lines

12th - Higher Ed
👉 Learn how to label points, lines, and planes. A point defines a position in space. A line is a set of points. A line can be created by a minimum of two points. A plane is a flat surface made up of at least three points. A point is...
Instructional Video11:56
Curated Video

Python 3: Project-based Python, Algorithms, Data Structures - Hash project 2: Set up insert and hashing functionality for data structure

Higher Ed
Visualize and analyze operations associated with Stacks and Queues This clip is from the chapter "Algorithms - Search and abstract data structures" of the series "Python 3: Project-based Python, Algorithms, Data Structures".null
Instructional Video6:59
Espresso Media

Mighty Sea Crane: Designing and Building the Oleg Strashnov

9th - 12th
Mighty Sea Crane part 3/8: This video discusses the design and construction of the Oleg Strashnov, a ship with a massive crane that has a 5000 ton lifting capacity. The video highlights the challenges faced in maintaining balance when...
Podcast26:11
NASA

‎NASA in Silicon Valley: Parimal Kopardekar Talks About Managing Drones in our Skies

Pre-K - Higher Ed
A rerun of a conversation with Parimal Kopardekar, NASA’s senior technologist for the Air Transportation System at NASA’s Ames Research Center in Silicon Valley.
Instructional Video1:12
Brian McLogan

Pre-Calculus - Subtraction of two functions f(x) = 2x -5 , g(x) = 2-x

12th - Higher Ed
👉 Learn how to add or subtract two functions. Given two functions, say f(x) and g(x), to add (f+g)(x) or f(x) + g(x) or to subtract (f - g)(x) or f(x) - g(x) the two functions we use the method of adding/subtracting algebraic expressions...
Instructional Video6:27
Brian McLogan

Summary for solving two step equations

12th - Higher Ed
👉 Learn all about the processes and definitions for solving linear equations. You will gain a better understanding about the vocabulary and steps used to solve liner equations such as how to isolate an equation and apply inverse...
Instructional Video0:57
Brian McLogan

Learning to solve a simple two step equation

12th - Higher Ed
👉 Learn how to solve two step linear equations. A linear equation is an equation whose highest exponent on its variable(s) is 1. To solve for a variable in a two step linear equation, we first isolate the variable by using inverse...
Instructional Video4:42
Brian McLogan

Why are order of operations important

12th - Higher Ed
👉 Learn how to simplify mathematics expressions. A mathematis expression is a finite combination of numbers and symbols formed following a set of operations or rules. To simplify a mathematics expression means to reduce the expression...
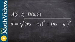
Instructional Video2:22
Brian McLogan

Determine the distance between two points using distance formula ex 1, A(3, 2) and B(6, 3)

12th - Higher Ed
👉 Learn how to find the distance between two points. The distance between two points is the length of the line joining the two points in the coordinate plane. To find the distance between two points in the coordinate plane, we make use...
Instructional Video4:05
The Business Professor

Budgeting

Higher Ed
Budgeting or setting a budget is the process of allocating resources to future or intended activities. There many types of budget and manners of involvement in the budgeting process.
Instructional Video1:55
Brian McLogan

Algebra 2 - Learning how to subtract two complex numbers, (6 - i) - (-7 - 2i)

12th - Higher Ed
In this video playlist you will learn everything you need to know with complex and imaginary numbers (6 - i) - (-7 - 2i)
Instructional Video8:19
Curated Video

Complete Python Scripting for Automation - case (Lower, Upper etc...) conversion operations

Higher Ed
Complete String Operations: case (Lower, Upper etc...) conversion operations This clip is from the chapter "Complete String Operations" of the series "Complete Python Scripting for Automation".You will learn about Basic operations on...
Instructional Video7:23
Curated Video

Complete Python Scripting for Automation - working with split, sub and subn operations of re module

Higher Ed
Regular expression with re module: working with split, sub and subn operations of re module This clip is from the chapter "Regular expression with re module" of the series "Complete Python Scripting for Automation".In this section, the...
Instructional Video9:05
Curated Video

Complete Python Scripting for Automation - working with findall and finditer operations

Higher Ed
Regular expression with re module: working with findall and finditer operations This clip is from the chapter "Regular expression with re module" of the series "Complete Python Scripting for Automation".In this section, the author...
Instructional Video3:27
Curated Video

Mastering Swift 2 Programming (Video 56)

Higher Ed
Swift 2 is a multi-paradigm programming language that has expressive features familiar to modern functional languages, and does not forget the object-oriented features of Objective-C. Things that took a block of code in Objective-C are...
Instructional Video13:57
Why U

Algebra 78 - Imaginary and Complex Numbers

12th - Higher Ed
The concept of imaginary and complex numbers was a powerful innovation that enabled mathematics to progress into previously uncharted territory. Although this concept was not entirely intuitive, extending our number system to include...
Instructional Video7:42
Packt

Big O(n) Complexity

Higher Ed
This video explains the concept of big O(n) complexity. This clip is from the chapter "Big O Notation" of the series "Data Structures and Algorithms: The Complete Masterclass".This section introduces you to big O notation in data...