Instructional Video9:27
SciShow

8 Structure Secrets of Gemstones

12th - Higher Ed
Gems are more than just pretty rocks! Hosted by: Michael Aranda
Instructional Video3:49
SciShow Kids

What's a Meteor Shower?

K - 5th
Have you ever looked up at night and seen a streak of light flash across the sky? Some people call that a "shooting star," but it's not actually a star at all! Join Jessi and Squeaks to learn what shooting stars really are and how they...
Instructional Video4:44
SciShow

A New Kind of Northern Light - SciShow News

12th - Higher Ed
A glowing, purple ribbon of light named STEVE is weirder than we thought and we now have evidence that there is water ice on the moon!
Instructional Video3:39
SciShow

5 Things Your Nails Can Say About Your Health

12th - Higher Ed
Your nails can do more than just look pretty. They can tell you some things about your health!
Instructional Video9:58
SciShow

8 Structure Secrets of Gemstones

12th - Higher Ed
Gems are more than just pretty rocks!
Instructional Video2:34
Curated Video

How to Create a Base & Foundation for Vampire Makeup

9th - Higher Ed
Howcast - Learn how to create a base and foundation for vampire makeup in this Howcast Halloween makeup tutorial with expert Kenneth Llambelis.
Instructional Video9:52
Curated Video

Meteors and Meteorites For Kids | Bedtime History

K - 5th
Join us on an awe-inspiring voyage through the captivating history of meteors! In this fascinating video, we delve into the origins of these celestial marvels, from ancient civilizations' interpretations to modern scientific discoveries....
Instructional Video4:38
Curated Video

Mineral Mystery

3rd - 8th
Dr. Forrester explains tests used to identify minerals.
Instructional Video6:46
Rock 'N Learn

Three-Letter Consonant Blends

K - 5th
Three-letter consonant blends have three consonants with no vowels separating them. You say the sound of each letter when you pronounce these blends, just like with 2-consonant blends. Learn to read words that have str, spr, spl, and scr.
Instructional Video3:44
Rock 'N Learn

STR Consonant Blend Song and Practice

K - 5th
This animated phonics song helps children learn the sound of the beginning consonant blend STR in English. A blend is a combination of letters where each letter makes its own sound. The sounds of the letters are blended together. Fun...
Instructional Video3:26
Curated Video

High Five Facts - Meteors

Pre-K - 5th
This video explores five fun facts about the meteors.
Instructional Video1:50
Visual Learning Systems

Our Distant Neighbors: Other Objects in the Solar System

9th - 12th
Upon viewing the Our Distant Neighbors video series, students will be able to do the following: Create a simple diagram of the sun and the orbital paths of each planet around the sun. Label each of the eight planets. Explain that the sun...
Instructional Video6:27
Catalyst University

Lipase Test | Theory & Results

Higher Ed
In this video, we explore the theory and results of the lipase test in microbiology.
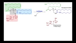
Instructional Video5:56
Catalyst University

Lecithinase Test | Theory & Results

Higher Ed
In this video, we explore the theory and interpretation of results for the lecithinase test in microbiology.
Instructional Video0:40
Curated Video

I WONDER - What Is A Meteor?

Pre-K - 5th
This video is answering the question of what is a meteor.
Instructional Video6:47
Catalyst University

DNAse Test | Theory & Results

Higher Ed
In this video, we explore the theory and interpretation of results for the DNAse test in microbiology lab.
Instructional Video1:02
Visual Learning Systems

The Amazing Universe: Introduction

9th - 12th
This show explores the fascinating features of the universe, the different types of galaxies in our solar system and the position of our solar system in the Milky Way Galaxy. Other terminology includes: constellations, spiral galaxy,...
Instructional Video0:46
Kids’ Poems and Stories With Michael Rosen

Boogy Woogy Buggy - Kids' Poems and Stories With Michael Rosen

Pre-K - 5th
Michael Rosen performing Boogy Woogy Buggy.
Instructional Video0:48
Kids’ Poems and Stories With Michael Rosen

Boogy Woogy Buggy - Kids' Poems and Stories With Michael Rosen

Pre-K - 5th
Michael Rosen performing Boogy Woogy Buggy. This poem comes from 'Centrally Heated Knickers (Puffin Books).
Instructional Video0:50
The March of Time

MOT 1945: BATTLE OF IWO JIMA: AMPHIBIOUS ASSAULT

12th - Higher Ed
various US Marines (4th & 5th Division) climbing down net on side of transport ship, boarding landing crafts, Navy fleet just off shore, bombing / VS United States Marines in landing craft, moving toward island of Iwo Jima for amphibious...
Instructional Video14:38
Catalyst University

Exercise 5: Streaking for Isolation & Spread Plates

Higher Ed
Exercise 5: Streaking for Isolation & Spread Plates
Instructional Video8:32
Catalyst University

Microbiology | Amylase (Starch Hydrolysis) Test [Theory and Results]

Higher Ed
In this video we discuss the theory underlying the Amylase (Starch Hydrolysis) Test and how to interpret the results.
Instructional Video4:15
Mazz Media

Meteor

6th - 8th
This live-action video program is about the word meteor. The program is designed to reinforce and support a student's comprehension and retention of the word meteor through use of video footage, photographs, diagrams and colorful,...
Instructional Video7:28
Professor Dave Explains

Mineral Luster and Color

12th - Higher Ed
Color and luster are two important macroscopic characteristics of minerals. How can we identify and classify minerals using these characteristics? And why do the same metals show up as different colors in different minerals? Macroscopic...