Instructional Video2:32
Curated Video

Going Fishing (Solve multi-step word problems involving remainders where the context requires the whole number quotient to be increased by 1)

K - 12th
There are 17 friends who want to go fishing. They need to rent boats; each boat holds 5 people. How many boats do they need to rent?
Instructional Video1:40
Curated Video

KS2 Primary Maths Age 13-17 - Calculations: Word Problems - Explained

3rd - 5th
SchoolOnline's Primary Maths videos are brilliant, bite-size tutorial videos delivered by examiners. Ideal for ages 9-13, they cover every key topic and sub topic covered in Maths in clear and easy to follow steps. This video looks at...
Instructional Video3:11
Curated Video

KS2 Primary Maths Age 13-17 - Calculations: Written Division - Explained

3rd - 5th
SchoolOnline's Primary Maths videos are brilliant, bite-size tutorial videos delivered by examiners. Ideal for ages 9-13, they cover every key topic and sub topic covered in Maths in clear and easy to follow steps. This video looks at...
Instructional Video3:09
Brian McLogan

How to synthetic divide when you are missing values

12th - Higher Ed
👉 Learn about dividing by synthetic division when there is a missing power. Synthetic division is a method of dividing polynomials by linear expressions. To divide using synthetic division, we equate the divisor to 0 and then solve for...
Instructional Video9:37
Brian McLogan

Learn How to Find All Zeros of a Polynomial Using Rational Zero Test and Synthetic

12th - Higher Ed
👉 Learn how to find all the zeros of a polynomial that cannot be easily factored. A polynomial is an expression of the form ax^n + bx^(n-1) + . . . + k, where a, b, and k are constants and the exponents are positive integers. The zeros...
Instructional Video3:50
Brian McLogan

Applying the remainder theorem to identify the remainder of a polynomial divided

12th - Higher Ed
👉 Learn about and how to apply the remainder and factor theorem. The remainder theorem states that f(a) is the remainder when the polynomial f(x) is divided by x - a. Thus, given a polynomial, f(x), which is to be divided by a linear...
Instructional Video2:29
Brian McLogan

Applying synthetic division when your divisor is a fraction

12th - Higher Ed
👉 Learn about dividing by synthetic division when the divisor is a fraction. Synthetic division is a method of dividing polynomials by linear expressions. To divide using synthetic division, we equate the divisor to 0 and then solve for...
Instructional Video9:14
Brian McLogan

Overview of dividing polynomials

12th - Higher Ed
👉 Learn how to divide polynomials using the long division algorithm. To be able to solve a polynomial, we need to be able to get the factors and hence the zeros. To get the factors, we use the rational zeros theorem to get one of the...
Instructional Video17:15
Brian McLogan

Master how to divide two polynomials using long division with missing terms

12th - Higher Ed
Master how to divide two polynomials using long division with missing terms
Instructional Video5:59
Brian McLogan

Simplifying imaginary numbers to a higher power

12th - Higher Ed
In this video series I show you how to simplify complex numbers to a higher power. We notice that i raised to a power repeats itself after the 4th degree. So we will divide the power in the problem by 4 and use the remainder to simplify...
Instructional Video3:55
Brian McLogan

Simplifying an imaginary number to a higher power

12th - Higher Ed
In this video playlist I show you how to solve different math problems for Algebra, Geometry, Algebra 2 and Pre-Calculus. The video will provide you with math help using step by step instruction. Math help tutorials is just what you need...
Instructional Video3:45
Brian McLogan

What is a slant asymptote

12th - Higher Ed
👉 Learn all about asymptotes of a rational function. A rational function is a function, having a variable in the denominator. An asymptote is a line that the graph of a function approaches but never touches. There are the vertical, the...
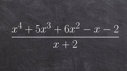
Instructional Video6:00
Brian McLogan

Dividing a fourth degree polynomial by a binomial using long division

12th - Higher Ed
👉 Learn how to divide polynomials using the long division algorithm. To be able to solve a polynomial, we need to be able to get the factors and hence the zeros. To get the factors, we use the rational zeros theorem to get one of the...
Instructional Video4:03
Brian McLogan

Determine the vertical and oblique asymptotes

12th - Higher Ed
👉 Learn how to find the slant/oblique asymptotes of a function. A slant (oblique) asymptote usually occurs when the degree of the polynomial in the numerator is higher than the degree of the polynomial in the denominator. To find the...
Instructional Video3:25
Curated Video

Python for Everybody: The Ultimate Python 3 Bootcamp - Basic Arithmetic

Higher Ed
This is fancy talk for "math". Python 3 has a very simple way of performing simple math equations. Don't worry, this isn't calculus. This clip is from the chapter "Beginner-friendly Python" of the series "Python for Everybody: The...
Instructional Video3:36
Curated Video

Fractions and Division (Part 2)

3rd - 5th
Extend the concept of division of two whole numbers that yield no remainder into any two whole numbers.
Instructional Video2:20
Brian McLogan

Learn How to Find Vertical, Horizontal and Slant Asymptotes of a Rational Function

12th - Higher Ed
👉 Learn how to find the slant/oblique asymptotes of a function. A slant (oblique) asymptote usually occurs when the degree of the polynomial in the numerator is higher than the degree of the polynomial in the denominator. To find the...
Instructional Video8:11
Brian McLogan

Given a Zero Find the Remaining Zeros by Factoring

12th - Higher Ed
👉 Learn how to find all the zeros of a polynomial given one rational zero. A polynomial is an expression of the form ax^n + bx^(n-1) + . . . + k, where a, b, and k are constants and the exponents are positive integers. The zeros of a...
Instructional Video6:21
Brian McLogan

Find the Vertical, Horizontal and Slant Asymptote

12th - Higher Ed
👉 Learn how to find the slant/oblique asymptotes of a function. A slant (oblique) asymptote usually occurs when the degree of the polynomial in the numerator is higher than the degree of the polynomial in the denominator. To find the...
Instructional Video3:18
Brian McLogan

How to Find Remaining Factors of a Polynomial Using Synthetic Division - Polynomial

12th - Higher Ed
👉 Learn how to find all the zeros of a polynomial given one rational zero. A polynomial is an expression of the form ax^n + bx^(n-1) + . . . + k, where a, b, and k are constants and the exponents are positive integers. The zeros of a...
Instructional Video4:35
Brian McLogan

How to Find Remaining Factors When Given One Factor, Synthetic Division

12th - Higher Ed
👉 Learn how to find all the zeros of a polynomial given one rational zero. A polynomial is an expression of the form ax^n + bx^(n-1) + . . . + k, where a, b, and k are constants and the exponents are positive integers. The zeros of a...
Instructional Video8:01
Brian McLogan

Using long division to divide two polynomials then determine the remaining zeros from quot

12th - Higher Ed
👉 Learn how to divide polynomials using the long division algorithm. To be able to solve a polynomial, we need to be able to get the factors and hence the zeros. To get the factors, we use the rational zeros theorem to get one of the...
Instructional Video4:28
Brian McLogan

When You Have One Complex Zero Find the Remaining Zeros of the Polynomial

12th - Higher Ed
👉 Learn how to find all the zeros of a polynomial given one complex zero. A polynomial is an expression of the form ax^n + bx^(n-1) + . . . + k, where a, b, and k are constants and the exponents are positive integers. The zeros of a...
Instructional Video3:12
Brian McLogan

Synthetically dividing with a fraction

12th - Higher Ed
👉 Learn how to divide polynomials by binomial divisors using the long division algorithm. A binomial is an algebraic expression having two terms. Before dividing a polynomial, it is usually important to arrange the divisor in the...