Instructional Video3:42
Brian McLogan

Identify the horizontal and vertical asymptotes of a rational function

12th - Higher Ed
πŸ‘‰ Learn how to find the vertical/horizontal asymptotes of a function. An asymptote is a line that the graph of a function approaches but never touches. The vertical asymptote is a vertical line that the graph of a function approaches but...
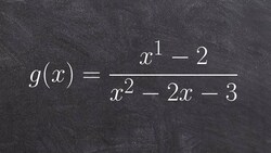
Instructional Video2:08
Brian McLogan

How to find the x and y intercepts of a rational function

12th - Higher Ed
πŸ‘‰ Learn how to find the x and y-intercepts of a rational function. The x-intercept(s) of a function occurs when y = 0 and the y-intercept(s) of a function occurs when x = 0. To find the y-intercept of a function, we plug in zero for x...
Instructional Video2:21
Brian McLogan

Graphing a system of equations to find an inconsistent solution

12th - Higher Ed
πŸ‘‰To solve a system of equations means to obtain a common x-value and a common y-value that makes the each of the equation in the system true. To solve a system of equations by graphing means to obtain the point of intersection (if any)...
Instructional Video2:21
Brian McLogan

Graph a line in slope intercept form

12th - Higher Ed
Graph a line in slope intercept form
Instructional Video8:15
Brian McLogan

How to factor an equation to find the x intercepts of the given equation, then solve

12th - Higher Ed
we find two factors of the product of the constant term (the term with no variable) and the coefficient of the squared variable whose sum gives the linear term. These factors are now placed in separate brackets with x to form the factors...
Instructional Video7:07
Brian McLogan

How do you find the x and y intercept of a quadratic

12th - Higher Ed
πŸ‘‰ Learn about the parts of a parabola. A parabola is the shape of the graph of a quadratic equation. A regular palabola is the parabola that is facing either up or down while an irregular parabola faces left or right. A quadratic...
Instructional Video2:00
Brian McLogan

How to solve by factoring when a=1

12th - Higher Ed
πŸ‘‰Learn how to solve quadratic functions. Quadratic equations are equations whose highest power in the variable(s) is 2. They are of the form y = ax^2 + bx + c. There are various techniques which can be applied in solving quadratic...
Instructional Video5:23
Brian McLogan

Learn how to graph and shade a system of linear inequalities

12th - Higher Ed
πŸ‘‰ Learn how to graph a system of inequalities. A system of inequalities is a set of inequalities which are collectively satisfied by a certain range of values for the variables. To graph a system of inequalities, each inequality making...
Instructional Video3:19
Brian McLogan

Find the zeros and y intercept of the quadratic

12th - Higher Ed
πŸ‘‰ Learn about the parts of a parabola. A parabola is the shape of the graph of a quadratic equation. A regular palabola is the parabola that is facing either up or down while an irregular parabola faces left or right. A quadratic...
Instructional Video7:56
Brian McLogan

Graphing a linear inequality with test points

12th - Higher Ed
πŸ‘‰ Learn how to graph linear inequalities written in slope-intercept form. Linear inequalities are graphed the same way as linear equations, the only difference being that one side of the line that satisfies the inequality is shaded. Also...
Instructional Video5:54
Brian McLogan

Graphing a linear inequality greater than or equal to

12th - Higher Ed
πŸ‘‰ Learn how to graph linear inequalities written in slope-intercept form. Linear inequalities are graphed the same way as linear equations, the only difference being that one side of the line that satisfies the inequality is shaded. Also...
Instructional Video5:03
Brian McLogan

Find the equation of a line through two points using slope intercept form

12th - Higher Ed
πŸ‘‰ Learn how to write the equation of a line given two points on the line. The equation of a line is such that its highest exponent on its variable(s) is 1. (i.e. there are no exponents on its variable(s)). There are various forms which...
Instructional Video2:50
Brian McLogan

Graphing an inequality when the slope is one ex 6

12th - Higher Ed
πŸ‘‰ Learn how to graph linear inequalities written in slope-intercept form. Linear inequalities are graphed the same way as linear equations, the only difference being that one side of the line that satisfies the inequality is shaded. Also...
Instructional Video4:36
Brian McLogan

Write the equation of a line given a slope and a point the line runs through

12th - Higher Ed
πŸ‘‰ Learn how to write the equation of a line in a point-slope form. The equation of a line is such that its highest exponent on its variable(s) is 1. (i.e. there are no exponents in its variable(s)). There are various forms which we can...
Instructional Video3:13
Brian McLogan

How to write and graph an equation by rewriting in slope intercept form

12th - Higher Ed
πŸ‘‰ Learn how to write the equation of a line in a point-slope form. The equation of a line is such that its highest exponent on its variable(s) is 1. (i.e. there are no exponents in its variable(s)). There are various forms which we can...
Instructional Video4:27
Brian McLogan

How do you graph an equation using slope intercept form

12th - Higher Ed
πŸ‘‰ Learn about graphing linear equations. A linear equation is an equation whose highest exponent on its variable(s) is 1. i.e. linear equations has no exponents on their variables. The graph of a linear equation is a straight line. To...
Instructional Video2:11
Brian McLogan

Learn to graph the identity equation using the slope intercept method

12th - Higher Ed
πŸ‘‰ Learn how to graph linear equations written in slope intercept form. When given a linear equation in slope intercept form, (i.e. in the form y = mx + c, where m is the slope and c is the y-intercept). We first plot the y-intercept and...
Instructional Video2:45
Brian McLogan

How to write the equation of a line parallel to another through a given point

12th - Higher Ed
πŸ‘‰ Learn all about writting the equation of a line. The equation of a line is such that its highest exponent on its variable(s) is 1. (i.e. there are no exponents in its variable(s)). There are various forms which we can write the...
Instructional Video8:30
Brian McLogan

How to determine, domain range, and the asymptote for an exponential graph

12th - Higher Ed
πŸ‘‰ Learn all about graphing exponential functions. An exponential function is a function whose value increases rapidly. To graph an exponential function, it is usually useful to first graph the parent function (without transformations)....
Instructional Video3:55
Brian McLogan

How to graph and compare a system of equations and their solutions

12th - Higher Ed
πŸ‘‰To solve a system of equations means to obtain a common x-value and a common y-value that makes the each of the equation in the system true. To solve a system of equations by graphing means to obtain the point of intersection (if any)...
Instructional Video4:58
Brian McLogan

Graphing a system of equations when you have infinite many solutions

12th - Higher Ed
πŸ‘‰To solve a system of equations means to obtain a common x-value and a common y-value that makes the each of the equation in the system true. To solve a system of equations by graphing means to obtain the point of intersection (if any)...
Instructional Video3:18
Brian McLogan

Graph a logarithmic function with multiple transformations

12th - Higher Ed
πŸ‘‰ Learn all about graphing logarithmic functions. A logarithmic function is a function with logarithms in them. The graph of the parent function of a logarithmic function usually takes its domain from the positive x-axis. To graph a...
Instructional Video5:05
Brian McLogan

Applying transformations to graph an exponential function

12th - Higher Ed
πŸ‘‰ Learn how to graph exponential functions in base e. An exponential function is a function whose value increases rapidly. e is a constant called the exponential constant equal to 2.7183... To graph an exponential function, it is usually...
Instructional Video5:39
Curated Video

Graphing Lines Using Intercepts

K - 5th
In this video, the teacher explains how to graph a line using intercepts. They use the example of buying hamburgers and hot dogs for lunch to demonstrate how to create an equation and graph the possible combinations. The teacher also...