Instructional Video9:45
Catalyst University

Progeria, Accelerated Aging | Biochemical Mechanism of Progeria

Higher Ed
In this video, I explain the mechanism of progeria, a rare but fatal accelerated aging disease. We will explore the synthesis pathway for normal wild-type Lamin A and the mutant form, progerin, for which the disease is named.<br/>
Instructional Video10:11
Catalyst University

Analyze Your SDS-PAGE Data IN 5 MINUTES!

Higher Ed
Analyze Your SDS-PAGE Data IN 5 MINUTES!
Instructional Video8:11
Catalyst University

Nucleotide Metabolism | Purine Biosynthesis 2: IMP to AMP & GMP

Higher Ed
Nucleotide Metabolism | Purine Biosynthesis 2: IMP to AMP & GMP
Instructional Video3:30
Catalyst University

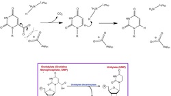
Nucleotide Metabolism | Mechanism of OMP (Orotidylate) Decarboxylase

Higher Ed
Nucleotide Metabolism | Mechanism of OMP (Orotidylate) Decarboxylase
Instructional Video9:52
Catalyst University

Basics of Amino Acid Structure (Part 1)

Higher Ed
Basics of Amino Acid Structure (Part 1)
Instructional Video10:30
Catalyst University

Nucleotide Metabolism | Degradation of IMP, AMP, & GMP

Higher Ed
Nucleotide Metabolism | Degradation of IMP, AMP, & GMP
Instructional Video5:17
Catalyst University

Nucleotide Metabolism | Regulation of Pyrimidine Biosynthesis

Higher Ed
Nucleotide Metabolism | Regulation of Pyrimidine Biosynthesis
Instructional Video7:05
Catalyst University

Lactase & the Mechanism of Lactose Intolerance

Higher Ed
1) What is the function of the enzyme, lactase? 2) What is the cause of the flatulence and diarrhea associated with lactose intolerance?
Instructional Video7:36
Catalyst University

Drugs & Xenobiotics | Mechanisms of Arsenic Poisoning

Higher Ed
Here, we will see how two forms of arsenic, arsenate and arsenote, disrupt energy metabolism via glycolysis and the TCA cycle, respectively.
Instructional Video10:38
Catalyst University

Porphyrins | Processing of Heme b to Heme a & Heme c

Higher Ed
Porphyrins | Heme b Biosynthesis and its Regulation
Instructional Video6:21
Catalyst University

Nucleotide Metabolism | Complicated Conversion of CTP/UTP to Thymine

Higher Ed
Nucleotide Metabolism | Complicated Conversion of CTP/UTP to Thymine
Instructional Video6:02
Catalyst University

The Mechanism of Insulin Biosynthesis by Pancreatic β-cells

Higher Ed
In this video, we will discuss the biosynthetic pathway for insulin and processing which occurs via the secretory pathway.<br/>
Instructional Video5:14
Catalyst University

Intestinal Sulfate Reduction to H2S by Sulfur-Reducing Bacteria

Higher Ed
In this video, we will explore the source of the major cause of the smell of flatulence. Intestinal sulfate-reducing bacteria reduce sulfate to hydrogen sulfide (H2S). We will see the biochemical pathway here and how it is coupled to...
Instructional Video9:40
Catalyst University

Exercise Physiology | What is Supramaximal Exercise?

Higher Ed
What is Supramaximal Exercise? In this video, I explain the concept of supramaximal exercise using a metabolic approach.
Instructional Video7:55
Catalyst University

How to Interpret Ramachandran Plots

Higher Ed
In this video, I explain the purpose of Ramachandran Plots and how to interpret them.<br/>
Instructional Video11:27
Catalyst University

Heme Catabolism to Urobilin and Stercobilin

Higher Ed
Heme Catabolism to Urobilin and Stercobilin
Instructional Video8:11
Catalyst University

Prions | The General Mechanism of Prion Formation and Disease

Higher Ed
Prions | The General Mechanism of Prion Formation and Disease
Instructional Video8:50
Catalyst University

Aminoacyl tRNA Synthetase: Part 1

Higher Ed
Aminoacyl tRNA Synthetase: Part 1
Instructional Video12:13
Catalyst University

Biotechniques | Principles of SDS-PAGE (Protein Separation)

Higher Ed
As always, the steps of an SDS-PAGE will depend on your specific lab and protocol. In this video, we will explore the general theory of separating and visualizing protein by SDS-PAGE, a technique very similar to DNA agarose gel...
Instructional Video6:20
Catalyst University

The Electron Transport Chain: Complex IV

Higher Ed
The Electron Transport Chain: Complex IV
Instructional Video10:13
Catalyst University

The Mechanism of Combination Birth Control

Higher Ed
In this video, we cover the physiological mechanism of combination birth controls containing both progestogen and estrogen analogs.
Instructional Video12:23
Catalyst University

Action Potential Physiology (Part 1)

Higher Ed
Action Potential Physiology (Part 1)
Instructional Video12:22
Catalyst University

Biosynthesis of Major Reactive Oxidative Species

Higher Ed
In this video, I explain the biosynthetic pathway for the major Reactive Oxidative Species (ROS) such as hydrogen peroxide, hydroxyl radicals, and superoxide.
Instructional Video8:26
Catalyst University

Protein Metabolism | Ubiquitination of Proteins & the 26S Proteasome

Higher Ed
Protein Metabolism | Ubiquitination of Proteins & the 26S Proteasome