Instructional Video5:46
Catalyst University

Development of Quantum Mechanics: Photoelectric Effect Example 1

Higher Ed
Development of Quantum Mechanics: Photoelectric Effect Example 1
Instructional Video8:55
Looking Glass Universe

What Heisenbergs Uncertainty Principle Actually Means

12th - Higher Ed
Lets talk about one of the most misunderstood but awesome concepts in physics. The Heisenberg uncertainty principle. Or maybe it should be the Heisenberg fuzziness principle instead? Would that confuse less people?
Instructional Video3:56
Catalyst University

Blackbody Radiation Example Problem #1

Higher Ed
Blackbody Radiation Example Problem #1
Instructional Video5:20
Physics Girl

How does laser cooling work?

9th - 12th
Lasers are known to burn things, fix eyes, and dance on powerpoint presentations. But they can also be used to cool objects to some of the coldest temperatures in the universe.
Instructional Video3:52
Professor Dave Explains

The Double-Slit Experiment

12th - Higher Ed
This is a classic experiment that is frequently referred to when describing quantum phenomena, so we definitely have to go over it a little bit. What happens when you pass a beam of light through a screen with two slits? What about when...
Instructional Video6:08
Physics Girl

The ULTRAVIOLET CATASTROPHE

9th - 12th
How did the field of quantum mechanics come about in the first place? The Rayleigh-Jeans catastrophe, also known as the ultraviolet catastrophe was a prediction by the Rayleigh-Jeans law that a blackbody would radiate infinite amounts of...
Instructional Video12:57
Catalyst University

Polarization: Theory and Example

Higher Ed
Polarization: Theory and Example
Instructional Video9:35
Looking Glass Universe

Is Spin Angular Momentum afterall?

12th - Higher Ed
On why I was very wrong. In my previous video, I said that spin isnt very linked to angular momentum at all- but in fact, theres a key property of angular momentum that spin has, suggesting they are linked after all. Book recommendation:...
Instructional Video5:39
Looking Glass Universe

Heisenberg Uncertainty Principle - Quantum Mechanics

12th - Higher Ed
In this episode Ill describe the uncertainty principle of quantum mechanics and talk about what it really means.
Instructional Video5:20
Catalyst University

Quantum Mechanics | The Bohr Model of the Atom

Higher Ed
What are the issues with the Bohr model of the atom (Neils Bohr)? Some issues with this mode helped early physicists invent and develop the discipline of quantum mechanics.
Instructional Video5:57
Catalyst University

Quantum Mechanics | The Photoelectric Effect

Higher Ed
This is an introductory video to Albert Einstein's photoelectric effect, the discipline that made him a Nobel laureate. -For Physical chemistry & Quantum level studies
Instructional Video5:08
Curated Video

Hawking Radiation Explained: What Exactly Was Stephen Hawking Famous For?

Pre-K - Higher Ed
Hawking radiation was first discovered by English scientist Stephen Hawking in 1974. Prior to this discovery, our knowledge of black holes was very limited. It was believed that black holes were completely black and that they did not...
Instructional Video7:56
Curated Video

Quantum Physics: Here’s Why Movies Always Get It Wrong

Pre-K - Higher Ed
Quantum physics deals with the foundation of our world – the electrons in an atom, the protons inside the nucleus, the quarks that build those protons, and the photons that we perceive as light. These constitute everything that we are...
Instructional Video4:21
Professor Dave Explains

Bohr Model of the Hydrogen Atom

12th - Higher Ed
Why don't protons and electrons just slam into each other and explode? Why do different elements emit light of different colors? Niels Bohr knew why. And now you will too!
Instructional Video3:57
Curated Video

Mechanics

K - 8th
This live-action video program is about the word Mechanics. The program is designed to reinforce and support a student's comprehension and retention of the word Mechanics through use of video footage, photographs, diagrams and colorful,...
Instructional Video13:43
Looking Glass Universe

Vectors make sense - Vector addition and basis vectors

12th - Higher Ed
Vectors may seem very difficult when youre first introduced to them, but I hope this video helps you see theyre not that scary! This is the start of a whole series of linear algebra, and I will cover vectors, the scalar product,...
Instructional Video16:36
Zach Star

The Real World Uses of Imaginary Numbers

12th - Higher Ed
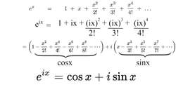
This video covers how imaginary numbers are used to solve real worlds problems in math, science, and engineering as well as a derivation of the most beautiful equation in math. The main topics include signals, controls, quantum...
News Clip1:19
Curated Video

Nobel Prize 2025: Clarke, Devoret & Martinis Win for Quantum Circuit Breakthrough

9th - Higher Ed
New ReviewThe 2025 Nobel Prize in Physics has been awarded to John Clarke, Michel H. Devoret, and John M. Martinis for their groundbreaking work on macroscopic quantum tunnelling and energy quantisation in electric circuits. Their discovery proved...
News Clip9:26
Curated Video

Why is everything 'quantum' now?

9th - Higher Ed
CBC News science specialist Darius Mahdavi takes a tour of UBC's Quantum Matter Institute to learn more about quantum science and how many of the experiments being done there could launch science and humanity into the unknown.
News Clip9:26
Curated Video

How exactly does quantum mechanics work? We visited a B.C. lab to find out

9th - Higher Ed
'Quantum mechanics' is a scientific term we hear often, but its meaning is neither well known nor well understood. CBC science specialist Darius Mahdavi took a tour of the Quantum Matter Institute at the University of British Columbia to...
News Clip2:09
Curated Video

Princeton Professor Discusses Nobel-Winning Work

Higher Ed
Duncan Haldane, a professor at Princeton University, said "its very exciting" to have won the Nobel prize in physics. Haldane, along with David Thouless and Michael Kosterlitz were honoured for their work in the 1970's and '80s that shed...
News Clip8:25
Bloomberg

Nobel Laureate Romer Says Let the Fed Do Their Job

Higher Ed
Dec.17 -- Paul Romer, Nobel laureate and NYU Stern Professor of Economics, discusses criticism of the Federal Reserve's rate path, the questioning of facts, and the U.S. ratio of debt-to-GDP. He speaks on "Bloomberg Daybreak: Americas."
Instructional Video11:19
Physics Girl

New Results! Cosmic Quantum Bell Test

9th - Higher Ed Standards
The topic of eliminating bias occurs in all branches of science. As part of a larger series on physics, an interesting video introduces viewers to one way quantum physicists approached this issue. She explains the problem with quantum...
Instructional Video6:32
Physics Girl

The Ultraviolet Catastrophe

9th - Higher Ed Standards
What do scientists do when their observations don't match the theory? An interesting video introduces the ultraviolet catastrophe as part of a larger series covering physics concepts. Starting with ultraviolet light and ending with...