Instructional Video6:05
Brian McLogan

Find the values a and b that make the function differentiable

12th - Higher Ed
👉 Learn how to determine the differentiability of a function. A function is said to be differentiable if the derivative exists at each point in its domain. To check the differentiability of a function, we first check that the function is...
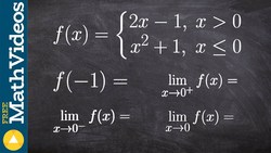
Instructional Video4:46
Brian McLogan

Evaluate the limit of a piecewise function with jump discontinuity

12th - Higher Ed
👉 Learn how to evaluate the limit of a piecewice function. A piecewise function is a function that has different rules for a different range of values. The limit of a function as the input variable of the function tends to a number/value...
Instructional Video2:15
Brian McLogan

How to determine the global max and min from a piecewise function

12th - Higher Ed
👉 Learn how to find the extreme values of a function using the extreme value theorem. The extreme values of a function are the points/intervals where the graph is decreasing, increasing, or has an inflection point. A theorem which...
Instructional Video3:13
Brian McLogan

How to evaluate the limit at the end of a radical graph left right and general

12th - Higher Ed
👉 Learn how to evaluate the limit of a function by rationalizing the radical. The limit of a function as the input variable of the function tends to a number/value is the number/value which the function approaches at that time. The limit...
Instructional Video3:22
Brian McLogan

How to find the limits of a piecewise function by graphing first

12th - Higher Ed
👉 Learn all about the Limit. In this playlist, we will explore how to evaluate the limit of an equation, piecewise function, table and graph. We will explore continuity as well as discontinuities such as holes, asymptotes and jumps and...
Instructional Video4:30
Brian McLogan

How to find the value k that can make the piecewise function continous

12th - Higher Ed
👉 Learn how to find the value that makes a function continuous. When given a piecewise function which has a hole at some point or at some interval, we fill the hole at the point or over the interval by looking for the value of the...
Instructional Video3:44
Brian McLogan

Find the values a and b that make the piecewise function continuous

12th - Higher Ed
👉 Learn how to find the value that makes a function continuos. A function is said to be continous if two conditions are met. They are: the limit of the function exist and that the value of the function at the point of continuity is...
Instructional Video3:00
Brian McLogan

Evaluate the limits from a discontinuos function

12th - Higher Ed
👉 Learn how to evaluate the limit of a function from the graph of the function. The limit of a function as the input variable of the function tends to a number/value is the number/value which the function approaches at that time. When...
Instructional Video7:37
Brian McLogan

How to Graph a Piece Wise Function with Transformations

12th - Higher Ed
👉 Learn how to graph piecewise functions. A piecewise function is a function which have more than one sub-functions for different sub-intervals(sub-domains) of the function's domain. To graph a piecewise function, we graph the different...
Instructional Video3:21
Brian McLogan

Evaluate the left, right and general limit of a piecewise function

12th - Higher Ed
👉 Learn all about the Limit. In this playlist, we will explore how to evaluate the limit of an equation, piecewise function, table and graph. We will explore continuity as well as discontinuities such as holes, asymptotes and jumps and...
Instructional Video3:17
Brian McLogan

The value k that makes the piecewise function continous

12th - Higher Ed
👉 Learn how to find the value that makes a function continuous. When given a piecewise function which has a hole at some point or at some interval, we fill the hole at the point or over the interval by looking for the value of the...
Instructional Video6:50
Brian McLogan

Learn How to Graph a Piecewise Function With Three Functions

12th - Higher Ed
👉 Learn how to graph piecewise functions. A piecewise function is a function that has more than one sub-functions for different sub-intervals(sub-domains) of the function's domain. To graph a piecewise function, we graph the different...
Instructional Video1:55
Brian McLogan

How to make a piecewise function continous by finding the value k

12th - Higher Ed
👉 Learn how to find the value that makes a function continuous. When given a piecewise function which has a hole at some point or at some interval, we fill the hole at the point or over the interval by looking for the value of the...
Instructional Video8:06
Brian McLogan

Graphing and evaluating piecewise functions

12th - Higher Ed
👉 Learn how to graph piecewise functions. A piecewise function is a function which have more than one sub-functions for different sub-intervals(sub-domains) of the function's domain. To graph a piecewise function, we graph the different...
Instructional Video2:55
Brian McLogan

What is the definition of range of a relation

12th - Higher Ed
👉 Learn about every thing you need to know to understand the domain and range of functions. We will look at functions represented as equations, tables, mapping, and ordered pairs. The domain is the set of all possible x or input values...
Instructional Video3:49
Brian McLogan

Learn the Steps to Graph Piecewise Functions

12th - Higher Ed
👉 Learn how to graph piecewise functions. A piecewise function is a function which have more than one sub-functions for different sub-intervals(sub-domains) of the function's domain. To graph a piecewise function, we graph the different...
Instructional Video2:08
Brian McLogan

Learn how to evaluate the limit of a piecewise function

12th - Higher Ed
👉 Learn how to evaluate the limit of a piecewice function. A piecewise function is a function that has different rules for a different range of values. The limit of a function as the input variable of the function tends to a number/value...
Instructional Video3:51
Brian McLogan

How to Graph a Piecewise Function With Constraints

12th - Higher Ed
👉 Learn how to graph piecewise functions. A piecewise function is a function which have more than one sub-functions for different sub-intervals(sub-domains) of the function's domain. To graph a piecewise function, we graph the different...
Instructional Video5:38
Brian McLogan

How to Graph Piecewise Functions

12th - Higher Ed
👉 Learn how to graph piecewise functions. A piecewise function is a function that has more than one sub-functions for different sub-intervals(sub-domains) of the function's domain. To graph a piecewise function, we graph the different...
Instructional Video1:54
Brian McLogan

Evalauate the limit of a piecewise function with a hole

12th - Higher Ed
👉 Learn how to evaluate the limit of a piecewice function. A piecewise function is a function that has different rules for a different range of values. The limit of a function as the input variable of the function tends to a number/value...
Instructional Video3:08
Brian McLogan

Graph piecewise functions logarithmic and reciprocal

12th - Higher Ed
👉 Learn how to graph piecewise functions. A piecewise function is a function which have more than one sub-functions for different sub-intervals(sub-domains) of the function's domain. To graph a piecewise function, we graph the different...
Instructional Video2:41
Brian McLogan

How to evualte the limit of the piecewise function

12th - Higher Ed
👉 Learn how to evaluate the limit of a piecewice function. A piecewise function is a function that has different rules for a different range of values. The limit of a function as the input variable of the function tends to a number/value...
Instructional Video2:03
Brian McLogan

Evaluate the limit of the piecewise function

12th - Higher Ed
👉 Learn how to evaluate the limit of a piecewice function. A piecewise function is a function that has different rules for a different range of values. The limit of a function as the input variable of the function tends to a number/value...
Instructional Video2:39
Brian McLogan

Find the value a that makes the piecewise functions continuous

12th - Higher Ed
👉 Learn how to find the value that makes a function continuous. When given a piecewise function which has a hole at some point or at some interval, we fill the hole at the point or over the interval by looking for the value of the...