Instructional Video2:24
Brian McLogan

Solving a binomial to a higher power using difference of two squares

12th - Higher Ed
πŸ‘‰ Learn how to factor polynomials using the difference of two squares for polynomials raised to higher powers. A polynomial is an expression of the form ax^n + bx^(n-1) + . . . + k, where a, b, and k are constants and the exponents are...
Instructional Video2:28
Brian McLogan

Learn how to factor out the GCF from a binomial

12th - Higher Ed
πŸ‘‰ Learn how to factor polynomials by GCF. A polynomial is an expression of the form ax^n + bx^(n-1) + . . . + k, where a, b, and k are constants and the exponents are positive integers. To factor an algebraic expression means to break it...
Instructional Video15:09
Brian McLogan

Full Class Zeros and multiplicity of a polynomial

12th - Higher Ed
Full Class Zeros and multiplicity of a polynomial
Instructional Video4:23
Brian McLogan

Determine the Zeros for a Polynomial by Factoring

12th - Higher Ed
πŸ‘‰ Learn how to find all the zeros of a polynomial by grouping. A polynomial is an expression of the form ax^n + bx^(n-1) + . . . + k, where a, b, and k are constants and the exponents are positive integers. The zeros of a polynomial are...
Instructional Video1:22
Brian McLogan

Learn how to factor the GCF from a binomial

12th - Higher Ed
πŸ‘‰ Learn how to factor polynomials by GCF. A polynomial is an expression of the form ax^n + bx^(n-1) + . . . + k, where a, b, and k are constants and the exponents are positive integers. To factor an algebraic expression means to break it...
Instructional Video3:05
Brian McLogan

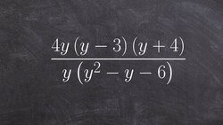
Learn to simplify a rational expression

12th - Higher Ed
Learn how to simplify rational expressions. A rational expression is an expression in the form of a fraction where the numerator and/or the denominator are/is an algebraic expression. To simplify a rational expression, we factor...
Instructional Video2:26
Brian McLogan

Describing and Solving for the Zeros Using Difference of Two Squares

12th - Higher Ed
πŸ‘‰ Learn how to find all the zeros of a polynomial in the form of the difference of two squares. A polynomial is an expression of the form ax^n + bx^(n-1) + . . . + k, where a, b, and k are constants and the exponents are positive...
Instructional Video0:52
Brian McLogan

Multiplying two exponents and adding the powers the easy way

12th - Higher Ed
In this video playlist I will show you the basics for polynomial functions. We will start with factoring polynomial equations to determine the zeros of a polynomial. We will then learn how to write the polynomial given a set of zeros....
Instructional Video1:38
Brian McLogan

Learn how to factor out the GCF using a factor tree

12th - Higher Ed
πŸ‘‰ Learn how to factor polynomials by GCF. A polynomial is an expression of the form ax^n + bx^(n-1) + . . . + k, where a, b, and k are constants and the exponents are positive integers. To factor an algebraic expression means to break it...
Instructional Video2:19
Brian McLogan

Learn how and why multiplicity of a zero make sense

12th - Higher Ed
πŸ‘‰ Learn about zeros and multiplicity. The zeroes of a polynomial expression are the values of x for which the graph of the function crosses the x-axis. They are the values of the variable for which the polynomial equals 0. The...
Instructional Video3:40
Brian McLogan

Learn How to Solve a Polynomial by Factoring Completely the Polynomial

12th - Higher Ed
πŸ‘‰ Learn how to find all the zeros of a polynomial. A polynomial is an expression of the form ax^n + bx^(n-1) + . . . + k, where a, b, and k are constants and the exponents are positive integers. The zeros of a polynomial are the values...
Instructional Video2:53
Brian McLogan

How to write the equation of a cubic function given different transformations

12th - Higher Ed
πŸ‘‰ Learn how to write the equation of a polynomial when given fractional zeros. Recall that a polynomial is an expression of the form ax^n + bx^(n-1) + . . . + k, where a, b, and k are constants and the exponents are positive integers....
Instructional Video6:35
Brian McLogan

Complete the square by factoring out a two to label the vertex

12th - Higher Ed
πŸ‘‰ Learn how to identify the vertex of a parabola by completing the square. A parabola is the shape of the graph of a quadratic equation. A quadratic equation can be written in the standard form (i.e. in the form y = ax^2 + bx + c) or it...
Instructional Video4:39
Brian McLogan

How to solve a rational equation with an extraneous solution

12th - Higher Ed
πŸ‘‰ Learn how to solve rational equations. A rational expression is an expression in the form of a fraction where the numerator and/or the denominator are/is an algebraic expression. There are many ways to solve rational expressions, one...
Instructional Video8:17
Brian McLogan

When Factoring Fails Us | Part 2

12th - Higher Ed
Factoring is a very important skill to develop but not always is it going to be helpful when solving quadratics. In this video I am going to show you what you can do when you need to solve a quadratic that is not factorable. There are...
Instructional Video4:51
Brian McLogan

The Easy Way to Factor and Solve a Polynomial to the 4th Power

12th - Higher Ed
πŸ‘‰ Learn how to find all the zeros of a polynomial. A polynomial is an expression of the form ax^n + bx^(n-1) + . . . + k, where a, b, and k are constants and the exponents are positive integers. The zeros of a polynomial are the values...
Instructional Video8:49
Brian McLogan

Make factoring trigonometric functions simple.

12th - Higher Ed
When you have trouble factoring trigonometric functions it is helpful to think about factoring quadratics
Instructional Video6:57
Brian McLogan

Is it a factor or not? Polynomial Style

12th - Higher Ed
πŸ‘‰Is it a factor or not. In this video I will show you three different ways to identify if you have a factor or not of a polynomial and let you decide which method you want to use for your next problem.
Instructional Video3:44
Brian McLogan

Solve a Polynomial with Complex Zeros by Factoring

12th - Higher Ed
πŸ‘‰ Learn how to find all the zeros of a polynomial. A polynomial is an expression of the form ax^n + bx^(n-1) + . . . + k, where a, b, and k are constants and the exponents are positive integers. The zeros of a polynomial are the values...
Instructional Video3:31
Brian McLogan

Simplifying the quotient of two rational expression by factoring

12th - Higher Ed
Learn how to multiply rational expressions. A rational expression is an expression in the form of a fraction where the numerator and/or the denominator are/is an algebraic expression. To multiply two rational expressions, we use the...
Instructional Video4:04
Brian McLogan

Simplifying complex fractions

12th - Higher Ed
πŸ‘‰ Learn how to simplify complex fractions. To simplify complex fractions having the addition/subtraction of more than one fractions in the numerator or/and in the denominator we first evaluate the numerator or/and the denominator...
Instructional Video2:26
Brian McLogan

Simplify an expression with four terms by factoring grouping

12th - Higher Ed
Learn how to factor expressions of two variables by grouping. To factor an algebraic expression means to break it up into expressions that can be multiplied together to get the original expression. When a given expression can be grouped...
Instructional Video5:01
Brian McLogan

Writing the formula of a polynomial given complex zeros

12th - Higher Ed
πŸ‘‰ Learn how to write the equation of a polynomial when given complex zeros. Recall that a polynomial is an expression of the form ax^n + bx^(n-1) + . . . + k, where a, b, and k are constants and the exponents are positive integers. The...
Instructional Video4:34
Brian McLogan

Why do we use factoring to simplify rational expressions

12th - Higher Ed
Learn how to simplify rational expressions. A rational expression is an expression in the form of a fraction where the numerator and/or the denominator are/is an algebraic expression. To simplify a rational expression, we factor...