Instructional Video5:02
Catalyst University

Sports Nutrition Discussion Board 5

Higher Ed
Sports Nutrition Discussion Board 5
Instructional Video8:18
JJ Medicine

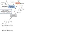
Catecholamine Biosynthesis Pathway

Higher Ed
Catecholamine Synthesis Lesson: Pathway, Enzymes, Co-Factors and Genetic Diseases. Hey everyone! In this lesson you will learn about the pathway involving the synthesis of the catecholamines dopamine, norepinephrine and epinephrine, as...
Instructional Video3:46
Catalyst University

Vitamin B6: Pyridoxal Phosphate

Higher Ed
Vitamin B6: Pyridoxal Phosphate
Instructional Video1:00
Visual Learning Systems

The Excretory System

9th - 12th
In this video, we explore the excretory system and its role in eliminating waste from our bodies. It highlights the importance of excretion and how our lungs play a vital role in removing waste gases, like carbon dioxide and water vapor....
Instructional Video14:18
Catalyst University

Pharmacology of Parkinson's Disease

Higher Ed
In this video, we explore the basic pharmacology of Parkinon's disease.
Instructional Video15:22
Catalyst University

TCA Cycle 1

Higher Ed
TCA Cycle 1
Instructional Video13:07
Catalyst University

TCA Cycle 2

Higher Ed
TCA Cycle 2
Instructional Video8:47
Catalyst University

Liver Enzymes EXPLAINED

Higher Ed
In this video, we explore the meaning of elevated liver and biliary enzymes.
Instructional Video7:25
Catalyst University

GABA Shunt or GABA Catabolism

Higher Ed
GABA Shunt or GABA Catabolism
Instructional Video3:19
Curated Video

What Happens To Your Hair After You Die?

Pre-K - Higher Ed
Hair resists decay even after death due to keratin, a structural protein. The structure and chemical composition of keratin make it difficult for organisms to break it down. Hair outlasts most other soft tissues due to the insoluble and...
Instructional Video7:38
Curated Video

Digestive Enzymes: Breaking Down Food for Nutrient Absorption

Higher Ed
This video is a lecture presentation about digestive enzymes and how our bodies process the food we eat to extract important nutrients from it. The presenter explains the two types of digestion - mechanical and chemical, and focuses on...
Instructional Video10:28
Catalyst University

G Proteins 2 Termination of Response

Higher Ed
G Proteins 2 Termination of Response
Instructional Video6:38
Catalyst University

Riboflavin: Metabolism and Absorption

Higher Ed
Riboflavin: Metabolism and Absorption
Instructional Video9:13
Curated Video

Digestive System: Ingestion to Egestion Explained in Simple Words

Pre-K - Higher Ed
The digestive system is the system that helps us break down the food we eat to its basic nutrients so that our body can use those nutrients to get energy. The digestive system is composed of the long continuous alimentary tract or...
Instructional Video12:48
Catalyst University

Glycogen Storage Diseases | Pathophysiology & Presentation

Higher Ed
In this video, we explore glycogen storage diseases including their pathophysiology, enzyme deficiencies, and common signs and symptoms.
Instructional Video4:06
Catalyst University

Microbiology: Voges-Proskauer Test

Higher Ed
Microbiology: Voges-Proskauer Test
Instructional Video4:15
FuseSchool

Denaturing By Enzymes

6th - Higher Ed
Learn the basics about how enzymes are denatured, as part of protein chemistry within the overall topic of organic chemistry.
Instructional Video15:11
Catalyst University

Biotechniques | General Theory of Western Blotting

Higher Ed
As always, the steps of Western blotting depend on your lab and protocol. Here, we look at the general theory of the Western blot and what it is used for in the lab.
Instructional Video20:08
Brave Wilderness

BITTEN by a GIANT WATER BUG!

6th - 8th
On this episode of Breaking Trail, Coyote is bitten by a Giant Water Bug! Also known as a Toe Biter, these Water Bugs pack one seriously powerful chomp. Using their beak like appendage they inject a strong enzyme into their prey to...
Instructional Video9:27
Catalyst University

All About Warfarin | Mechanism of Action

Higher Ed
In this video, we discuss the vitamin K cycle and how the mechanism of action of warfarin (Coumadin) interferes to thin the blood.
Instructional Video18:46
Catalyst University

Melatonin Biosynthesis

Higher Ed
Melatonin Biosynthesis
Instructional Video6:50
Catalyst University

The Biotin Cycle | Mammalian Biotin (Vitamin B7) Metabolism & Processing

Higher Ed
This video explores the biotin cycle. How is biotin attached to an enzyme? How is it removed? Is biotin recycled?
Instructional Video7:54
JJ Medicine

How to Remember the Glycolysis Pathway Intermediates and Enzymes | Mnemonic

Higher Ed
How to Remember the Glycolysis Pathway Intermediates and Enzymes | Mnemonic This video is on a method/approach using a mnemonic aid (2 phrases) that can help you remember the glycolysis pathway intermediates and enzymes easier and simpler.
Instructional Video3:07
Professor Dave Explains

Natural vs. Synthetic Vitamins

12th - Higher Ed
Anti-science mentality is prevalent in modern society. This is evidenced most clearly in a complete distrust of chemicals synthesized in a laboratory. But does the activity of a molecule depend whatsoever on the pathway from which it...