Instructional Video5:10
Curated Video

C++ Programming By Example - Setting Up Your Painting Application

Higher Ed
How to set up a basic application? • Use basic project setup provided by instructor • Open Qt Creator and created needed files as shown • Put the files in the correct folders This clip is from the chapter "Building a Painting Application...
Instructional Video2:32
Institute for New Economic Thinking

The Beginnings of Intellectual Change

Higher Ed
In part 4 of INET's interview with Perry Mehrling, he says that even though there's a sense among many economists that the crisis is over, some are starting to look at new data, reexamine the old paradigm, and formulate new theories
Instructional Video1:43
Brian McLogan

Learn how to find the measure of a minor arc

12th - Higher Ed
Learn how to solve problems with arcs of a circle. An arc is a curve made by two points on the circumference of a circle. The measure of an arc corresponds to the central angle made by the two radii from the center of the circle to the...
Instructional Video1:49
Brian McLogan

Given two inscribed angles determine the value of x on a circle

12th - Higher Ed
Learn how to solve problems with arcs of a circle. An arc is a curve made by two points on the circumference of a circle. The measure of an arc corresponds to the central angle made by the two radii from the center of the circle to the...
Instructional Video0:53
Brian McLogan

Given two arcs equal in length determine the value of x from their chords

12th - Higher Ed
Learn how to solve problems with chords. A chord is a line that has its two endpoints on the circle. A chord passing through the center of the circle is refered to as the diameter of the circle. A chord divides the circle into two...
Instructional Video3:40
Brian McLogan

Given the intersection of two chords not at the center find the measure of an arc

12th - Higher Ed
Learn how to solve problems with chords. A chord is a line that has its two endpoints on the circle. A chord passing through the center of the circle is refered to as the diameter of the circle. A chord divides the circle into two...
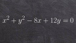
Instructional Video4:53
Brian McLogan

Converting a circle into standard form and then graphing

12th - Higher Ed
Learn how to graph the equation of a circle by completing the square. Completing the square will allow us to transform the equation of a circle from general form to standard form. When the equation is in standard form we can identify the...
Instructional Video2:51
Curated Video

GCSE Secondary Maths Age 13-17 - Algebra: Inequality - Explained

9th - 12th
SchoolOnline's Secondary Maths videos are brilliant, bite-size tutorial videos delivered by examiners. Ideal for ages 13-17, they cover every key topic and sub topic covered in GCSE Maths in clear and easy to follow steps. This video...
Instructional Video8:30
Brian McLogan

Master how to write the equation of a circle given different pieces of information

12th - Higher Ed
Master how to write the equation of a circle given different pieces of information
Instructional Video3:07
Poetry Foundation

John-Francis Quiñonez reads "Re: Watching You Without Me"

Pre-K - Higher Ed
John-Francis Quiñonez (they/them/theirs) reads their poem, “Re: Watching You Without Me
Instructional Video5:57
Kult America

Abandoned WARSAW Nuclear Bunker

Higher Ed
On today's episode of Kult America I will take you to an abandoned nuclear bunker. Built as a shelter during the Cold War, this place was destroyed by time and people, but it still has this unbelievable, dark atmosphere that gives you...
Instructional Video7:28
Curated Video

Comprehensive Android Developer Bootcamp - Drawing Bitmaps on Screen

Higher Ed
Drawing on Canvas in Android:Drawing Bitmaps on Screen This clip is from the chapter "Drawing on Canvas in Android" of the series "The Comprehensive Android Developer Bootcamp".This section shows you how to draw on the Canvas in Android...
Instructional Video22:11
Let's Tute

Twisted Mandala

9th - Higher Ed
In this video we will learn how to make twisted mandala design with different colours and unique tricks
Instructional Video4:10
Brian McLogan

How to evaluate for secant of a negative angle using period as an aide

12th - Higher Ed
👉 Learn how to evaluate trigonometric functions of a given angle. Given an angle greater than 2pi in radians, to evaluate the trigonometric functions of the given angle, we first determine the smallest positive coterminal angle of the...
Instructional Video4:54
Brian McLogan

Master Classifying Conic Sections - Parabola, Circle, Ellipse, Hyperbola

12th - Higher Ed
Master Classifying Conic Sections - Parabola, Circle, Ellipse, Hyperbola
Instructional Video5:41
Product Design Online

How and Why to Fully Constrain Sketches in Fusion 360

Higher Ed
This tutorial teaches you how and why to fully-define your sketches in Fusion 360. This is a foundational concept that all beginners must learn if you want to create proper parametric models. Fully defining a sketch is done through the...
Instructional Video15:34
Let's Tute

Painting Space Scenery: Techniques and Tips

9th - Higher Ed
In this video, the teacher demonstrates various painting techniques to create a space scenery. The tutorial covers painting the base with Prussian blue and black, highlighting different parts using different colors, creating celestial...
Instructional Video8:02
Brian McLogan

Master how to determine the center and radius of a circle by completing the square

12th - Higher Ed
Welcome, ladies and gentlemen. So what I'd like to do is show you how to determine the center and the radius of a circle when given an equation in standard form. And you can see that in our previous video, we found the center and the...
Instructional Video2:44
Brian McLogan

Find the value of x given two chords and arc measures

12th - Higher Ed
Learn how to solve problems with chords. A chord is a line that has its two endpoints on the circle. A chord passing through the center of the circle is refered to as the diameter of the circle. A chord divides the circle into two...
Instructional Video7:44
Brian McLogan

How to evaluate a function for a point on a graph

12th - Higher Ed
👉 Learn how to evaluate trigonometric functions of a given angle. Given an angle greater than 2pi in radians, to evaluate the trigonometric functions of the given angle, we first determine the smallest positive coterminal angle of the...
Instructional Video4:58
Curated Video

Data Analytics using Python Visualizations - Creating Bubble Plots - Vectorizing Your Plot

Higher Ed
This video explains how to create bubble plots – vectorizing your plot. This clip is from the chapter "Working with the Beautiful and Powerful Bokeh Library" of the series "Data Analytics Using Python Visualizations".This section...
Instructional Video31:12
Let's Tute

Creating Beautiful Backgrounds with Brush Pens

9th - Higher Ed
In this video, the teacher demonstrates different techniques for creating beautiful backgrounds using brush pens. They show how to blend colors, create watercolor effects, and add details to enhance the backgrounds. The teacher...
Instructional Video1:58
Brian McLogan

Solve for the value of x and y using congruent inscribed angles

12th - Higher Ed
Learn how to solve problems with arcs of a circle. An arc is a curve made by two points on the circumference of a circle. The measure of an arc corresponds to the central angle made by the two radii from the center of the circle to the...
Instructional Video1:05
Brian McLogan

Write the equation of a circle given center and tangent to the x axis

12th - Higher Ed
Learn how to write the equation of a circle given different pieces of information. When writing the equation of a circle you will be work from the general equation of a circle and plug in our given information such as the radius, center,...